Alclofenac |
| Clinical data |
|---|
| AHFS/Drugs.com | International Drug Names |
|---|
| ATC code | |
|---|
| Identifiers |
|---|
IUPAC name 2-(3-chloro-4-prop-2-enoxyphenyl)acetic acid |
| CAS Number | |
|---|
| PubChem CID | |
|---|
| ChemSpider | |
|---|
| UNII | |
|---|
| KEGG | |
|---|
| ChEMBL | |
|---|
| CompTox Dashboard (EPA) | |
|---|
| ECHA InfoCard | 100.040.709  |
|---|
| Chemical and physical data |
|---|
| Formula | C11H11ClO3 |
|---|
| Molar mass | 226.66 g·mol−1 |
|---|
| 3D model (JSmol) | |
|---|
SMILES Clc1cc(ccc1OC\C=C)CC(=O)O |
InChI=1S/C11H11ClO3/c1-2-5-15-10-4-3-8(6-9(10)12)7-11(13)14/h2-4,6H,1,5,7H2,(H,13,14)  Key:ARHWPKZXBHOEEE-UHFFFAOYSA-N  |
| (verify) |
Alclofenac is a nonsteroidal anti-inflammatory drug (NSAID).
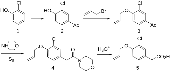
Synthesis
References
- ^ Gaviraghi G, Banfi S, Cornelli U, Pinza M, Pifferi G (April 1977). "Synthesis and antiinflammatory activity of 3-chloro-4-cyclopropylmethoxyphenylacetic acid and its alpha-methyl homologue". Il Farmaco; Edizione Scientifica. 32 (4): 286–95. PMID 862882.
- ^ CA 831040, Gillet C, Buu HN, Lambelin G, "Substituted Phenylacetic Acids and Processes of Preparation Thereof", published 30 December 1969, assigned to Madan Ag
- ^ US 3824277, Gillet C, Buu HN, Lambelin G, "4-Allyloxy-3-chloro-phenyl-acetic acid", published 16 July 1974, assigned to Madan Ag
This article is copied from an
article on Wikipedia® - the free encyclopedia created and edited by its online user community. The text was not checked or edited by anyone on our staff. Although the vast majority of Wikipedia® encyclopedia articles provide accurate and timely information, please do not assume the accuracy of any particular article. This article is distributed under the terms of
GNU Free Documentation License.
All content on this website, including dictionary, thesaurus, literature, geography, and other reference data is for informational purposes only. This information should not be considered complete, up to date, and is not intended to be used in place of a visit, consultation, or advice of a legal, medical, or any other professional.