Wikipedia

Ajoene

Also found in: Medical.
Ajoene
Ajoene.svg
Names
IUPAC name
(E)-1-(Prop-2-enyldisulfanyl)-3-prop-2-enylsulfinylprop-1-ene
Identifiers
3D model (JSmol)
ChEMBL
ChemSpider
UNII
Properties
C9H14OS3
Molar mass 234.39 g·mol−1
Except where otherwise noted, data are given for materials in their standard state (at 25 °C [77 °F], 100 kPa).

Ajoene /ˈɑːh.n/ is an organosulfur compound found in garlic (Allium sativum) extracts. It is a colorless liquid that contains sulfoxide and disulfide functional groups. The name[1] (and pronunciation) is derived from "ajo", the Spanish word for garlic. It is found as a mixture of up to four stereoisomers, which differ in terms of the stereochemistry of the central alkene (E- vs Z-) and the chirality of the sulfoxide sulfur (R- vs S-).

History and syntheses

The structure of ajoene was determined and it was synthesized based on biosynthetic considerations in 1984,[1] correcting an incorrect structure published in 1983.[2] A short, scalable total synthesis of ajoene was reported in 2018 by Wirth and coworkers[3] while a biosynthetically modeled synthesis of trifluoroajoene from difluoroallicin was published in 2017.[4] Syntheses of various ajoene analogues have also been reported.[5] The chemistry of ajoene has been extensively investigated.[1][6][7][8][9]

When a garlic clove is crushed or finely chopped, allicin is released, with subsequent formation of ajoene when the material is dissolved in various solvents including edible oils. Ajoene is also found in garlic extract. Ajoene is most stable and most abundant in macerate of garlic (chopped garlic in edible oil).

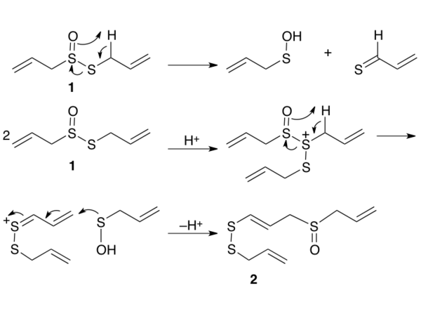
The reaction sequence that forms ajoene (2 in the diagram) involves two molecules of allicin. First, one allicin molecule (1 in the diagram) fragments to form 2-propenesulfenic acid and thioacrolein. These two react in separate stages with another allicin molecule by way of a conjugated thiocationic intermediate.[1]

Mechanism for formation of ajoene from allicin.tiff

Medicinal properties

Ajoene has multiple medicinal uses.[3][5][9] It functions as an antioxidant by inhibiting the release of superoxide. Ajoene also has antithrombotic (anti-clotting) properties, which helps prevent platelets in the blood from forming blood clots, potentially reducing the risk of heart disease and stroke in humans. Ajoene has shown potential virucidal properties against a number of viruses including vesicular stomatitis, vaccinia, human rhinovirus parainfluenza, and herpes simplex. In the infected cell system of a human immunodeficiency virus (HIV), it is shown to block the integrin-dependent processes.[10][11]

Ajoene has broad-spectrum antimicrobial (antibacterial and antifungal) properties.[12][13][14] For example, Ajoene has been shown to have activity against the human dermatophyte Trichophyton rubrum, the most common cause of tinea pedis, commonly known as Athlete's Foot.[13][15] The specific mechanism of action is unclear, but is thought to be related to the inhibition of phosphatidylcholine biosynthesis in human dermatophytes.[15] In a randomized study by Ledezma et al. (2000), 70 soldiers from the Venezuelan Armed Forces with KOH or culture proven tinea pedis interdigitalis were randomly distributed into 3 treatment groups: 0.6% ajoene, 1% ajoene, and 1% terbinafine (commercially available as Lamisil AT®) applied twice daily for 1 week.[15] At the 60 day follow up, 72%, 100%, and 94% of the patients treated with 0.6% and 1% ajoene, and 1% terbinafine, respectively, had maintained culture-proven mycologic cure suggesting that short-term topical treatment with ajoene is at least as effective as topical terbinafine for treating tinea pedis.[15]

Ajoene has been investigated as a chemotherapeutic agent for treatment of cancer stem cells in glioblastoma multiforme,[16] of lung adenocarcinoma[17] and as an anti-leukemia agent for acute myeloid leukemia therapy.[18] Ajoene has been found to decrease basal-cell carcinoma tumor size by inducing apoptosis[19] while it has also been shown effective in inhibiting tumor cell growth by targeting the microtubule cytoskeleton of such cells and by other mechanisms.[20] Ajoene inhibits genes controlled by quorum sensing.[3][21][22]

References

  1. ^ a b c d Block E, Ahmad S, Jain MK, Crecely R, Apitz-Castro R, Cruz MR (1984). "(E,Z)-Ajoene: A potent antithrombotic agent from garlic". Journal of the American Chemical Society. 106 (26): 8295–8296. doi:10.1021/ja00338a049.
  2. ^ Apitz-Cȧstro, R.; Cabrera, S.; Cruz, M.R.; Ledezma, E.; Jain, M.K. (1983). "Effects of garlic extract and of three pure components isolated from it on human platelet aggregation, arachidonate metabolism, release reaction and platelet ultrastructure". Thrombosis Research. 32 (2): 155–169. doi:10.1016/0049-3848(83)90027-0.
  3. ^ a b c Silva, F.; Khokhar, S.S.; Williams, D.M.; Saunders, R.; Evans, G.J.S.; Graz, M.; Wirth, T. (2018). "Short total synthesis of ajoene" (PDF). Angewandte Chemie International Edition. 57 (38): 12290–12293. doi:10.1002/anie.201808605. PMC 6221122. PMID 30079981.
  4. ^ Block, E.; Bechand, B.; Gundala, S.; Vattekkatte, A.; Wang, K.; Mousa, Shaymaa; Godugu, K.; Yalcin, M.; Mousa, Shaker (2017). "Fluorinated analogs of organosulfur compounds from garlic (Allium sativum). Synthesis, chemistry and anti-angiogenesis and antithrombotic studies". Molecules. 22 (12): 2081. doi:10.3390/molecules22122081. PMC 6149718. PMID 29182588.
  5. ^ a b Kaschula CH; et al. (2012). "Structure-activity studies on the anti-proliferation activity of ajoene analogues in WHCO1 oesophageal cancer cells". European Journal of Medicinal Chemistry. 50: 236–254. doi:10.1016/j.ejmech.2012.01.058. PMID 22381354.
  6. ^ Block, E (1985). "The chemistry of garlic and onions". Scientific American. 252 (3): 114–119. doi:10.1038/scientificamerican0385-114. PMID 3975593.
  7. ^ Apitz-Castro, R; Escalante, J; Vargas, R; Jain, MK (1986). "Ajoene, the antiplatelet principle of garlic, synergistically potentiates the antiaggregatory action of prostacyclin, forskolin, indomethacin and dypiridamole on human platelets". Thrombosis Research. 42 (3): 303–11. doi:10.1016/0049-3848(86)90259-8. PMID 3520940.
  8. ^ Block E, Ahmad S, Catalfamo JL, Jain MK, Apitz-Castro R (1986). "The chemistry of alkyl thiosulfinate esters. 9. Antithrombotic organosulfur compounds from garlic: structural, mechanistic, and synthetic studies". Journal of the American Chemical Society. 108 (22): 7045–7055. doi:10.1021/ja00282a033.
  9. ^ a b Block, E (2010). Garlic and Other Alliums: The Lore and the Science. Royal Society of Chemistry. ISBN 978-0-85404-190-9.
  10. ^ Weber ND, Andersen DO, North JA, et al. (1992). "In vitro virucidal effects of Allium sativum (garlic) extract and compounds". Planta Med. 58 (5): 417–23. doi:10.1055/s-2006-961504. PMID 1470664.
  11. ^ Tatarintsev AV, Vrzhets PV, Ershov DE, et al. (1992). "The ajoene blockade of integrin-dependent processes in an HIV-infected cell system". Vestn Ross Akad Med Nauk (11–12): 6–10. PMID 1284227.
  12. ^ Torres J, Romero H (2012). "In vitro antifungal activity of ajoene on five clinical isolates of Histoplasma capsulatum var. capsulatum". Revista Iberoamericana de Micologia. 29 (1): 24–28. doi:10.1016/j.riam.2011.04.001. PMID 21635962.
  13. ^ a b Ledezma E, Apitz-Castro R (2006). "Ajoene the main active compound of garlic (Allium sativum): a new antifungal agent". Revista Iberoamericana de Micologia. 23 (2): 75–80. doi:10.1016/s1130-1406(06)70017-1. PMID 16854181.
  14. ^ Choi JA; et al. (2018). "Enhancement of the antimycobacterial activity of macrophages by ajoene". Innate Immunity. 24 (1): 79–88. doi:10.1177/1753425917747975. PMID 29239661.
  15. ^ a b c d Ledezma, E.; Marcano, K.; Jorquera, A.; De Sousa L, L.; Padilla, M.; Pulgar, M.; Apitz-Castro, R. (2000). "Efficacy of ajoene in the treatment of tinea pedis: a double-blind and comparative study with terbinafine". Journal of the American Academy of Dermatology. 43 (5 Pt 1): 829–832. doi:10.1067/mjd.2000.107243. ISSN 0190-9622. PMID 11050588.
  16. ^ Jung Y, Park H, Zhao HY, Jeon R, Ryu JH, Kim WY (2014). "Systemic approaches identify a garlic-derived chemical, Z-ajoene, as a glioblastoma multiforme cancer stem cell-specific targeting agent". Molecules and Cells. 37 (7): 547–553. doi:10.14348/molcells.2014.0158. PMC 4132307. PMID 25078449.
  17. ^ Wang Y, Sun Z, Chen S, Jiao Y, Bai C (2016). "ROS-mediated activation of JNK/p38 contributes partially to the pro-apoptotic effect of ajoene on cells of lung adenocarcinoma". Tumour Biology. 37 (3): 3727–3738. doi:10.1007/s13277-015-4181-9. PMID 26468015.
  18. ^ Hassan HT (2004). "Ajoene (natural garlic compound): a new anti-leukaemia agent for AML therapy". Leukemia Research. 28 (7): 667–671. doi:10.1016/j.leukres.2003.10.008. PMID 15158086.
  19. ^ Tilli CMLJ; Stavast-Kooy AJW; Vuerstaek JDD; et al. (2003). "The garlic-derived organosulfur component ajoene decreases basal cell carcinoma tumor size by inducing apoptosis". Archives of Dermatological Research. 295 (3): 117–123. doi:10.1007/s00403-003-0404-9. PMID 12756587.
  20. ^ Terrasson J, Xu B, Li M, Allart S, Davignon JL, Zhang LH, Wang K, Davrinche C (2007). "Activities of Z-ajoene against tumour and viral spreading in vitro". Fundamental & Clinical Pharmacology. 21 (3): 281–289. doi:10.1111/j.1472-8206.2007.00470.x. PMID 17521297.
  21. ^ Givskov M; et al. (2012). "Ajoene, a sulfur rich molecule from garlic, inhibits genes controlled by quorum sensing" (PDF). Antimicrobial Agents and Chemotherapy. 56 (5): 2314–25. doi:10.1128/AAC.05919-11. PMC 3346669. PMID 22314537.
  22. ^ Jakobsen TH; et al. (2017). "A broad range quorum sensing inhibitor working through sRNA inhibition". Scientific Reports. 7 (1): 9857. doi:10.1038/s41598-017-09886-8. PMC 5575346. PMID 28851971.

External links

Media related to Ajoene at Wikimedia Commons

This article is copied from an article on Wikipedia® - the free encyclopedia created and edited by its online user community. The text was not checked or edited by anyone on our staff. Although the vast majority of Wikipedia® encyclopedia articles provide accurate and timely information, please do not assume the accuracy of any particular article. This article is distributed under the terms of GNU Free Documentation License.

Copyright © 2003-2025 Farlex, Inc Disclaimer
All content on this website, including dictionary, thesaurus, literature, geography, and other reference data is for informational purposes only. This information should not be considered complete, up to date, and is not intended to be used in place of a visit, consultation, or advice of a legal, medical, or any other professional.