Wikipedia

4-Dimethylaminopyridine

4-Dimethylaminopyridine
4-Dimethylaminopyridine chemical structure.png
Names
IUPAC names
N,N-Dimethylpyridin-4-amine
Dimethyl(pyridin-4-yl)azane
Dimethyl(pyridin-4-yl)amine
Preferred IUPAC name
N,N-Dimethylpyridin-4-amine
Other names
4-(Dimethylamino)pyridine
N,N-Dimethyl-4-aminopyridine
DMAP
4-Dimethylaminopyridine
4-(Dimethylamino)azine
N,N-dimethyl-4-aminoazine
4-(Dimethylamino)azabenzene
N,N-Dimethyl-4-aminoazabenzene
Identifiers
3D model (JSmol)
ChemSpider
ECHA InfoCard 100.013.049 Edit this at Wikidata
UNII
CompTox Dashboard (EPA)
Properties
C7H10N2
Molar mass 122.17 g/mol
Appearance white solid
Melting point 110 to 113 °C (230 to 235 °F; 383 to 386 K)
Boiling point 162 °C (324 °F; 435 K) at 50 mmHg
Acidity (pKa) 9.6 in water, 17.95 (pKa of conjugate acid in acetonitrile)[1]
Hazards
Safety data sheet [2]
GHS pictograms GHS06: Toxic
GHS Signal word Danger
GHS hazard statements
H301, H310, H315, H319, H335[2]
GHS precautionary statements
P280, P305+351+338, P337+313[2]
Lethal dose or concentration (LD, LC):
deer mice: oral, 450 mg/kg[3]

mice: oral, 350 mg/kg/day[3]
rat: oral, 250 mg/mL[3]
fly: oral, 0.15 mg/mL[3]

Except where otherwise noted, data are given for materials in their standard state (at 25 °C [77 °F], 100 kPa).

4-Dimethylaminopyridine (DMAP) is a derivative of pyridine with the chemical formula (CH3)2NC5H4N. This colourless solid is of interest because it is more basic than pyridine, owing to the resonance stabilisation from the NMe2 substituent.

Because of its basicity, DMAP is a useful nucleophilic catalyst for a variety of reactions such as esterifications with anhydrides, the Baylis-Hillman reaction, hydrosilylations, tritylation, the Steglich rearrangement, Staudinger synthesis of β-lactams and many more. Chiral DMAP analogues are used in kinetic resolution experiments of mainly secondary alcohols and Evans auxiliary type amides.[4][5][6]

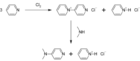
Preparation

DMAP can be prepared in a two-step procedure from pyridine, which is first oxidized to 4-pyridylpyridinium cation. This cation then reacts with dimethylamine:[7]

Preparation of DMAP.png

Esterification catalyst

In the case of esterification with acetic anhydrides the currently accepted mechanism involves three steps. First, DMAP and acetic anhydride react in a pre-equilibrium reaction to form an ion pair of acetate and the acetylpyridinium ion. In the second step the alcohol adds to the acetylpyridinium, and elimination of pyridine forms an ester. Here the acetate acts as a base to remove the proton from the alcohol as it nucleophilically adds to the activated acylpyridinium. The bond from the acetyl group to the catalyst gets cleaved to generate the catalyst and the ester. The described bond formation and breaking process runs synchronous concerted without the appearance of a tetrahedral intermediate. The acetic acid formed will then protonate the DMAP. In the last step of the catalytic cycle the auxiliary base (usually triethylamine or pyridine) deprotonates the protonated DMAP, reforming the catalyst. The reaction runs through the described nucleophilic reaction pathway irrespective of the anhydride used, but the mechanism changes with the pKa value of the alcohol used. For example, the reaction runs through a base-catalyzed reaction pathway in the case of a phenol. In this case, DMAP acts as a base and deprotonates the phenol, and the resulting phenolate ion adds to the anhydride.[8]

Safety

DMAP has a relatively high toxicity and is particularly dangerous because of its ability to be absorbed through the skin. It is also corrosive.[9]

References

  1. ^ Kaljurand, I.; Kütt, A.; Sooväli, L.; Rodima, T.; Mäemets, V.; Leito, I.; Koppel, I. A. (2005). "Extension of the Self-Consistent Spectrophotometric Basicity Scale in Acetonitrile to a Full Span of 28 pKa Units: Unification of Different Basicity Scales". J. Org. Chem. 70 (3): 1019–1028. doi:10.1021/jo048252w. PMID 15675863.
  2. ^ a b c Sigma-Aldrich Co., 4-(Dimethylamino)pyridine. Retrieved on 2015-09-03.
  3. ^ a b c d Nachtergael, Amandine; Coulembier, Olivier; Dubois, Philippe; Helvenstein, Maxime; Duez, Pierre; Blankert, Bertrand; Mespouille, Laetitia (9 February 2015). "Organocatalysis Paradigm Revisited: Are Metal-Free Catalysts Really Harmless?". Biomacromolecules. 16 (2): 507–514. doi:10.1021/bm5015443. PMID 25490408.
  4. ^ Donald J Berry; Charles V Digiovanna; Stephanie S Metrick; Ramiah Murugan (2001). "Catalysis by 4-dialkylaminopyridines". Arkivoc: 201–226. Archived from the original on 2007-09-27. Retrieved 2006-11-27.
  5. ^ Höfle, G.; Steglich, W.; Vorbrüggen, H. (1978). "4-Dialkylaminopyridines as Highly Active Acylation Catalysts". Angew. Chem. Int. Ed. Engl. 17 (8): 569–583. doi:10.1002/anie.197805691.
  6. ^ Ryan P. Wurz (2007). "Chiral Dialkylamine Catalysts in Asymmetric Synthesis". Chem. Rev. 107 (12): 5570–5595. doi:10.1021/cr068370e. PMID 18072804.
  7. ^ Shimizu, Shinkichi; Watanabe, Nanao; Kataoka, Toshiaki; Shoji, Takayuki; Abe, Nobuyuki; Morishita, Sinji; Ichimura, Hisao (2007). "Pyridine and Pyridine Derivatives". Ullmann's Encyclopedia of Industrial Chemistry. Weinheim: Wiley-VCH. doi:10.1002/14356007.a22_399.
  8. ^ S. Xu; I. Held; B. Kempf; H. Mayr; Wolfgang Steglich; H. Zipse (2005). "The DMAP-Catalyzed Acetylation of Alcohols - A Mechanistic Study (DMAP = 4-(dimethylamino)-pyridine)". Chem. Eur. J. 11 (16): 4751–4757. doi:10.1002/chem.200500398. PMID 15924289.
  9. ^ DMAP MSDS - Fischer Science

Further reading

This article is copied from an article on Wikipedia® - the free encyclopedia created and edited by its online user community. The text was not checked or edited by anyone on our staff. Although the vast majority of Wikipedia® encyclopedia articles provide accurate and timely information, please do not assume the accuracy of any particular article. This article is distributed under the terms of GNU Free Documentation License.

Copyright © 2003-2025 Farlex, Inc Disclaimer
All content on this website, including dictionary, thesaurus, literature, geography, and other reference data is for informational purposes only. This information should not be considered complete, up to date, and is not intended to be used in place of a visit, consultation, or advice of a legal, medical, or any other professional.