Wikipedia

Pearson correlation coefficient

Also found in: Dictionary, Encyclopedia.
(redirected from Pearson product-moment correlation coefficient)

In statistics, the Pearson correlation coefficient (PCC, pronounced /ˈpɪərsən/), also referred to as Pearson's r, the Pearson product-moment correlation coefficient (PPMCC), or the bivariate correlation,[1] is a measure of linear correlation between two sets of data. It is the covariance of two variables, divided by the product of their standard deviations; thus it is essentially a normalised measurement of the covariance, such that the result always has a value between -1 and 1. As with covariance itself, the measure can only reflect a linear correlation of variables, and ignores many other types of relationship or correlation. As a simple example, one would expect the age and height of a sample of teenagers from a high school to have a Pearson correlation coefficient significantly greater than 0, but less than 1 (as 1 would represent an unrealistically perfect correlation).

Examples of scatter diagrams with different values of correlation coefficient (ρ)
Several sets of (xy) points, with the correlation coefficient of x and y for each set. Note that the correlation reflects the strength and direction of a linear relationship (top row), but not the slope of that relationship (middle), nor many aspects of nonlinear relationships (bottom). N.B.: the figure in the center has a slope of 0 but in that case the correlation coefficient is undefined because the variance of Y is zero.

Naming and history

It was developed by Karl Pearson from a related idea introduced by Francis Galton in the 1880s, and for which the mathematical formula was derived and published by Auguste Bravais in 1844.[a][5][6][7][8] The naming of the coefficient is thus an example of Stigler's Law.

Definition

Pearson's correlation coefficient is the covariance of the two variables divided by the product of their standard deviations. The form of the definition involves a "product moment", that is, the mean (the first moment about the origin) of the product of the mean-adjusted random variables; hence the modifier product-moment in the name.

For a population

Pearson's correlation coefficient, when applied to a population, is commonly represented by the Greek letter ρ (rho) and may be referred to as the population correlation coefficient or the population Pearson correlation coefficient.[9] Given a pair of random variables , the formula for ρ[10] is:[11]

(Eq.1)

where:

is the covariance
is the standard deviation of
is the standard deviation of

The formula for can be expressed in terms of mean and expectation. Since

[10]

the formula for can also be written as

(Eq.2)

where:

and are defined as above
is the mean of
is the mean of
is the expectation.

The formula for can be expressed in terms of uncentered moments. Since

the formula for can also be written as

For a sample

Pearson's correlation coefficient, when applied to a sample, is commonly represented by and may be referred to as the sample correlation coefficient or the sample Pearson correlation coefficient.[9] We can obtain a formula for by substituting estimates of the covariances and variances based on a sample into the formula above. Given paired data consisting of pairs, is defined as:

(Eq.3)

where:

is sample size
are the individual sample points indexed with i
(the sample mean); and analogously for

Rearranging gives us this formula for :

where are defined as above.

This formula suggests a convenient single-pass algorithm for calculating sample correlations, though depending on the numbers involved, it can sometimes be numerically unstable.

Rearranging again gives us this[10] formula for :

where are defined as above.

An equivalent expression gives the formula for as the mean of the products of the standard scores as follows:

where

are defined as above, and are defined below
is the standard score (and analogously for the standard score of )

Alternative formulae for are also available. For example. one can use the following formula for :

where:

are defined as above and:
(the sample standard deviation); and analogously for

Practical issues

Under heavy noise conditions, extracting the correlation coefficient between two sets of stochastic variables is nontrivial, in particular where Canonical Correlation Analysis reports degraded correlation values due to the heavy noise contributions. A generalization of the approach is given elsewhere.[12]

In case of missing data, Garren derived the maximum likelihood estimator.[13]

Mathematical properties

The absolute values of both the sample and population Pearson correlation coefficients are on or between 0 and 1. Correlations equal to +1 or −1 correspond to data points lying exactly on a line (in the case of the sample correlation), or to a bivariate distribution entirely supported on a line (in the case of the population correlation). The Pearson correlation coefficient is symmetric: corr(X,Y) = corr(Y,X).

A key mathematical property of the Pearson correlation coefficient is that it is invariant under separate changes in location and scale in the two variables. That is, we may transform X to a + bX and transform Y to c + dY, where a, b, c, and d are constants with b, d > 0, without changing the correlation coefficient. (This holds for both the population and sample Pearson correlation coefficients.) Note that more general linear transformations do change the correlation: see § Decorrelation of n random variables for an application of this.

Interpretation

The correlation coefficient ranges from −1 to 1. A value of 1 implies that a linear equation describes the relationship between X and Y perfectly, with all data points lying on a line for which Y increases as X increases. A value of −1 implies that all data points lie on a line for which Y decreases as X increases. A value of 0 implies that there is no linear correlation between the variables.[14]

More generally, note that (Xi − X)(Yi − Y) is positive if and only if Xi and Yi lie on the same side of their respective means. Thus the correlation coefficient is positive if Xi and Yi tend to be simultaneously greater than, or simultaneously less than, their respective means. The correlation coefficient is negative (anti-correlation) if Xi and Yi tend to lie on opposite sides of their respective means. Moreover, the stronger is either tendency, the larger is the absolute value of the correlation coefficient.

Rodgers and Nicewander[15] cataloged thirteen ways of interpreting correlation:

  • Function of raw scores and means
  • Standardized covariance
  • Standardized slope of the regression line
  • Geometric mean of the two regression slopes
  • Square root of the ratio of two variances
  • Mean cross-product of standardized variables
  • Function of the angle between two standardized regression lines
  • Function of the angle between two variable vectors
  • Rescaled variance of the difference between standardized scores
  • Estimated from the balloon rule
  • Related to the bivariate ellipses of isoconcentration
  • Function of test statistics from designed experiments
  • Ratio of two means

Geometric interpretation

Regression lines for y = gX(x) [red] and x = gY(y) [blue]

For uncentered data, there is a relation between the correlation coefficient and the angle φ between the two regression lines, y = gX(x) and x = gY(y), obtained by regressing y on x and x on y respectively. (Here, φ is measured counterclockwise within the first quadrant formed around the lines' intersection point if r > 0, or counterclockwise from the fourth to the second quadrant if r < 0.) One can show[16] that if the standard deviations are equal, then r = sec φ − tan φ, where sec and tan are trigonometric functions.

For centered data (i.e., data which have been shifted by the sample means of their respective variables so as to have an average of zero for each variable), the correlation coefficient can also be viewed as the cosine of the angle θ between the two observed vectors in N-dimensional space (for N observations of each variable)[17]

Both the uncentered (non-Pearson-compliant) and centered correlation coefficients can be determined for a dataset. As an example, suppose five countries are found to have gross national products of 1, 2, 3, 5, and 8 billion dollars, respectively. Suppose these same five countries (in the same order) are found to have 11%, 12%, 13%, 15%, and 18% poverty. Then let x and y be ordered 5-element vectors containing the above data: x = (1, 2, 3, 5, 8) and y = (0.11, 0.12, 0.13, 0.15, 0.18).

By the usual procedure for finding the angle θ between two vectors (see dot product), the uncentered correlation coefficient is:

This uncentred correlation coefficient is identical with the cosine similarity. Note that the above data were deliberately chosen to be perfectly correlated: y = 0.10 + 0.01 x. The Pearson correlation coefficient must therefore be exactly one. Centering the data (shifting x by ℰ(x) = 3.8 and y by ℰ(y) = 0.138) yields x = (−2.8, −1.8, −0.8, 1.2, 4.2) and y = (−0.028, −0.018, −0.008, 0.012, 0.042), from which

as expected.

Interpretation of the size of a correlation

This figure gives a sense of how the usefulness of a Pearson correlation for predicting values varies with its magnitude. Given jointly normal X, Y with correlation ρ, (plotted here as a function of ρ) is the factor by which a given prediction interval for Y may be reduced given the corresponding value of X. For example, if ρ = 0.5, then the 95% prediction interval of Y|X will be about 13% smaller than the 95% prediction interval of Y.

Several authors have offered guidelines for the interpretation of a correlation coefficient.[18][19] However, all such criteria are in some ways arbitrary.[19] The interpretation of a correlation coefficient depends on the context and purposes. A correlation of 0.8 may be very low if one is verifying a physical law using high-quality instruments, but may be regarded as very high in the social sciences, where there may be a greater contribution from complicating factors.

Inference

Statistical inference based on Pearson's correlation coefficient often focuses on one of the following two aims:

  • One aim is to test the null hypothesis that the true correlation coefficient ρ is equal to 0, based on the value of the sample correlation coefficient r.
  • The other aim is to derive a confidence interval that, on repeated sampling, has a given probability of containing ρ.

We discuss methods of achieving one or both of these aims below.

Using a permutation test

Permutation tests provide a direct approach to performing hypothesis tests and constructing confidence intervals. A permutation test for Pearson's correlation coefficient involves the following two steps:

  1. Using the original paired data (xiyi), randomly redefine the pairs to create a new data set (xiyi′), where the i′ are a permutation of the set {1,...,n}. The permutation i′ is selected randomly, with equal probabilities placed on all n! possible permutations. This is equivalent to drawing the i′ randomly without replacement from the set {1, ..., n}. In bootstrapping, a closely related approach, the i and the i′ are equal and drawn with replacement from {1, ..., n};
  2. Construct a correlation coefficient r from the randomized data.

To perform the permutation test, repeat steps (1) and (2) a large number of times. The p-value for the permutation test is the proportion of the r values generated in step (2) that are larger than the Pearson correlation coefficient that was calculated from the original data. Here "larger" can mean either that the value is larger in magnitude, or larger in signed value, depending on whether a two-sided or one-sided test is desired.

Using a bootstrap

The bootstrap can be used to construct confidence intervals for Pearson's correlation coefficient. In the "non-parametric" bootstrap, n pairs (xiyi) are resampled "with replacement" from the observed set of n pairs, and the correlation coefficient r is calculated based on the resampled data. This process is repeated a large number of times, and the empirical distribution of the resampled r values are used to approximate the sampling distribution of the statistic. A 95% confidence interval for ρ can be defined as the interval spanning from the 2.5th to the 97.5th percentile of the resampled r values.

Testing using Student's t-distribution

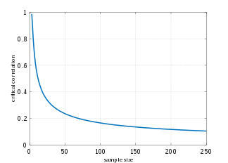
Critical values of Pearson's correlation coefficient that must be exceeded to be considered significantly nonzero at the 0.05 level.

For pairs from an uncorrelated bivariate normal distribution, the sampling distribution of a certain function of Pearson's correlation coefficient follows Student's t-distribution with degrees of freedom n − 2. Specifically, if the underlying variables are white and have a bivariate normal distribution, the variable

has a student's t-distribution in the null case (zero correlation).[20] This holds approximately in case of non-normal observed values if sample sizes are large enough.[21] For determining the critical values for r the inverse function is needed:

Alternatively, large sample, asymptotic approaches can be used.

Another early paper[22] provides graphs and tables for general values of ρ, for small sample sizes, and discusses computational approaches.

In the case where the underlying variables are not white, the sampling distribution of Pearson's correlation coefficient follows a Student's t-distribution, but the degrees of freedom are reduced.[23]

Using the exact distribution

For data that follow a bivariate normal distribution, the exact density function f(r) for the sample correlation coefficient r of a normal bivariate is[24][25][26]

where is the gamma function and is the Gaussian hypergeometric function.

In the special case when , the exact density function f(r) can be written as:

where is the beta function, which is one way of writing the density of a Student's t-distribution, as above.

Using the Fisher transformation

In practice, confidence intervals and hypothesis tests relating to ρ are usually carried out using the Fisher transformation, :

F(r) approximately follows a normal distribution with

    and standard error

where n is the sample size. The approximation error is lowest for a large sample size and small and and increases otherwise.

Using the approximation, a z-score is

under the null hypothesis that , given the assumption that the sample pairs are independent and identically distributed and follow a bivariate normal distribution. Thus an approximate p-value can be obtained from a normal probability table. For example, if z = 2.2 is observed and a two-sided p-value is desired to test the null hypothesis that , the p-value is 2·Φ(−2.2) = 0.028, where Φ is the standard normal cumulative distribution function.

To obtain a confidence interval for ρ, we first compute a confidence interval for F():

The inverse Fisher transformation brings the interval back to the correlation scale.

For example, suppose we observe r = 0.3 with a sample size of n=50, and we wish to obtain a 95% confidence interval for ρ. The transformed value is arctanh(r) = 0.30952, so the confidence interval on the transformed scale is 0.30952 ± 1.96/47, or (0.023624, 0.595415). Converting back to the correlation scale yields (0.024, 0.534).

In least squares regression analysis

The square of the sample correlation coefficient is typically denoted r2 and is a special case of the coefficient of determination. In this case, it estimates the fraction of the variance in Y that is explained by X in a simple linear regression. So if we have the observed dataset and the fitted dataset then as a starting point the total variation in the Yi around their average value can be decomposed as follows

where the are the fitted values from the regression analysis. This can be rearranged to give

The two summands above are the fraction of variance in Y that is explained by X (right) and that is unexplained by X (left).

Next, we apply a property of least square regression models, that the sample covariance between and is zero. Thus, the sample correlation coefficient between the observed and fitted response values in the regression can be written (calculation is under expectation, assumes Gaussian statistics)

Thus


where

is the proportion of variance in Y explained by a linear function of X.

In the derivation above, the fact that

can be proved by noticing that the partial derivatives of the residual sum of squares (RSS) over β0 and β1 are equal to 0 in the least squares model, where

.

In the end, the equation can be written as:

where

The symbol is called the regression sum of squares, also called the explained sum of squares, and is the total sum of squares (proportional to the variance of the data).

Sensitivity to the data distribution

Existence

The population Pearson correlation coefficient is defined in terms of moments, and therefore exists for any bivariate probability distribution for which the population covariance is defined and the marginal population variances are defined and are non-zero. Some probability distributions such as the Cauchy distribution have undefined variance and hence ρ is not defined if X or Y follows such a distribution. In some practical applications, such as those involving data suspected to follow a heavy-tailed distribution, this is an important consideration. However, the existence of the correlation coefficient is usually not a concern; for instance, if the range of the distribution is bounded, ρ is always defined.

Sample size

  • If the sample size is moderate or large and the population is normal, then, in the case of the bivariate normal distribution, the sample correlation coefficient is the maximum likelihood estimate of the population correlation coefficient, and is asymptotically unbiased and efficient, which roughly means that it is impossible to construct a more accurate estimate than the sample correlation coefficient.
  • If the sample size is large and the population is not normal, then the sample correlation coefficient remains approximately unbiased, but may not be efficient.
  • If the sample size is large, then the sample correlation coefficient is a consistent estimator of the population correlation coefficient as long as the sample means, variances, and covariance are consistent (which is guaranteed when the law of large numbers can be applied).
  • If the sample size is small, then the sample correlation coefficient r is not an unbiased estimate of ρ.[10] The adjusted correlation coefficient must be used instead: see elsewhere in this article for the definition.
  • Correlations can be different for imbalanced dichotomous data when there is variance error in sample.[27]

Robustness

Like many commonly used statistics, the sample statistic r is not robust,[28] so its value can be misleading if outliers are present.[29][30] Specifically, the PMCC is neither distributionally robust, nor outlier resistant[28] (see Robust statistics#Definition). Inspection of the scatterplot between X and Y will typically reveal a situation where lack of robustness might be an issue, and in such cases it may be advisable to use a robust measure of association. Note however that while most robust estimators of association measure statistical dependence in some way, they are generally not interpretable on the same scale as the Pearson correlation coefficient.

Statistical inference for Pearson's correlation coefficient is sensitive to the data distribution. Exact tests, and asymptotic tests based on the Fisher transformation can be applied if the data are approximately normally distributed, but may be misleading otherwise. In some situations, the bootstrap can be applied to construct confidence intervals, and permutation tests can be applied to carry out hypothesis tests. These non-parametric approaches may give more meaningful results in some situations where bivariate normality does not hold. However the standard versions of these approaches rely on exchangeability of the data, meaning that there is no ordering or grouping of the data pairs being analyzed that might affect the behavior of the correlation estimate.

A stratified analysis is one way to either accommodate a lack of bivariate normality, or to isolate the correlation resulting from one factor while controlling for another. If W represents cluster membership or another factor that it is desirable to control, we can stratify the data based on the value of W, then calculate a correlation coefficient within each stratum. The stratum-level estimates can then be combined to estimate the overall correlation while controlling for W.[31]

Variants

Variations of the correlation coefficient can be calculated for different purposes. Here are some examples.

Adjusted correlation coefficient

The sample correlation coefficient r is not an unbiased estimate of ρ. For data that follows a bivariate normal distribution, the expectation E[r] for the sample correlation coefficient r of a normal bivariate is[32]

therefore r is a biased estimator of

The unique minimum variance unbiased estimator radj is given by[33]

where:

are defined as above,
is the Gaussian hypergeometric function.

An approximately unbiased estimator radj can be obtained by truncating E[r] and solving this truncated equation:

An approximate solution to equation (2) is:

where in (3):

are defined as above,
radj is a suboptimal estimator,
radj can also be obtained by maximizing log(f(r)),
radj has minimum variance for large values of n,
radj has a bias of order ​1&fras1;(n − 1).

Another proposed[10] adjusted correlation coefficient is:

Note that radjr for large values of n.

Weighted correlation coefficient

Suppose observations to be correlated have differing degrees of importance that can be expressed with a weight vector w. To calculate the correlation between vectors x and y with the weight vector w (all of length n),[34][35]

  • Weighted mean:
  • Weighted covariance
  • Weighted correlation

Reflective correlation coefficient

The reflective correlation is a variant of Pearson's correlation in which the data are not centered around their mean values. The population reflective correlation is

The reflective correlation is symmetric, but it is not invariant under translation:

The sample reflective correlation is equivalent to cosine similarity:

The weighted version of the sample reflective correlation is

Scaled correlation coefficient

Scaled correlation is a variant of Pearson's correlation in which the range of the data is restricted intentionally and in a controlled manner to reveal correlations between fast components in time series.[36] Scaled correlation is defined as average correlation across short segments of data.

Let be the number of segments that can fit into the total length of the signal for a given scale :

The scaled correlation across the entire signals is then computed as

where is Pearson's coefficient of correlation for segment .

By choosing the parameter , the range of values is reduced and the correlations on long time scale are filtered out, only the correlations on short time scales being revealed. Thus, the contributions of slow components are removed and those of fast components are retained.

Pearson's distance

A distance metric for two variables X and Y known as Pearson's distance can be defined from their correlation coefficient as[37]

Considering that the Pearson correlation coefficient falls between [−1, +1], the Pearson distance lies in [0, 2]. The Pearson distance has been used in cluster analysis and data detection for communications and storage with unknown gain and offset[38]

Circular correlation coefficient

For variables X = {x1,...,xn} and Y = {y1,...,yn} that are defined on the unit circle [0, 2π), it is possible to define a circular analog of Pearson's coefficient.[39] This is done by transforming data points in X and Y with a sine function such that the correlation coefficient is given as:

where and are the circular means of X and Y. This measure can be useful in fields like meteorology where the angular direction of data is important.

Partial correlation

If a population or data-set is characterized by more than two variables, a partial correlation coefficient measures the strength of dependence between a pair of variables that is not accounted for by the way in which they both change in response to variations in a selected subset of the other variables.

Decorrelation of n random variables

It is always possible to remove the correlations between all pairs of an arbitrary number of random variables by using a data transformation, even if the relationship between the variables is nonlinear. A presentation of this result for population distributions is given by Cox & Hinkley.[40]

A corresponding result exists for reducing the sample correlations to zero. Suppose a vector of n random variables is observed m times. Let X be a matrix where is the jth variable of observation i. Let be an m by m square matrix with every element 1. Then D is the data transformed so every random variable has zero mean, and T is the data transformed so all variables have zero mean and zero correlation with all other variables – the sample correlation matrix of T will be the identity matrix. This has to be further divided by the standard deviation to get unit variance. The transformed variables will be uncorrelated, even though they may not be independent.

where an exponent of ​ 1&fras1;2 represents the matrix square root of the inverse of a matrix. The correlation matrix of T will be the identity matrix. If a new data observation x is a row vector of n elements, then the same transform can be applied to x to get the transformed vectors d and t:

This decorrelation is related to principal components analysis for multivariate data.

Software Implementations

  • R's statistics base-package implements the test cor.test(x, y, method = "pearson") in its "stats" package (also cor(x, y, method = "pearson") will work, but without returning the p-value). Since pearson is the default, the method argument could also be omitted.
  • Python's statistical functions module implements the test pearsonr(x, y) in its "scipy.stats" module and returns the correlation coefficient r and p-value as (r, p-value).

See also

Footnotes

  1. ^ As early as 1877, Galton was using the term "reversion" and the symbol "r" for what would become "regression".[2][3][4]

References

  1. ^ "SPSS Tutorials: Pearson Correlation".
  2. ^ Galton, F. (5–19 April 1877). "Typical laws of heredity". Nature. 15 (388, 389, 390): 492–495, 512–514, 532–533. Bibcode:1877Natur..15..492.. doi:10.1038/015492a0. S2CID 4136393. In the "Appendix" on page 532, Galton uses the term "reversion" and the symbol r.
  3. ^ Galton, F. (24 September 1885). "The British Association: Section II, Anthropology: Opening address by Francis Galton, F.R.S., etc., President of the Anthropological Institute, President of the Section". Nature. 32 (830): 507–510.
  4. ^ Galton, F. (1886). "Regression towards mediocrity in hereditary stature". Journal of the Anthropological Institute of Great Britain and Ireland. 15: 246–263. doi:10.2307/2841583. JSTOR 2841583.
  5. ^ Pearson, Karl (20 June 1895). "Notes on regression and inheritance in the case of two parents". Proceedings of the Royal Society of London. 58: 240–242. Bibcode:1895RSPS...58..240P.
  6. ^ Stigler, Stephen M. (1989). "Francis Galton's account of the invention of correlation". Statistical Science. 4 (2): 73–79. doi:10.1214/ss/1177012580. JSTOR 2245329.
  7. ^ "Analyse mathematique sur les probabilités des erreurs de situation d'un point". Mem. Acad. Roy. Sci. Inst. France. Sci. Math, et Phys. (in French). 9: 255–332. 1844 – via Google Books.
  8. ^ Wright, S. (1921). "Correlation and causation". Journal of Agricultural Research. 20 (7): 557–585.
  9. ^ a b "List of Probability and Statistics Symbols". Math Vault. 26 April 2020. Retrieved 22 August 2020.
  10. ^ a b c d e Real Statistics Using Excel: Correlation: Basic Concepts, retrieved 22 February 2015
  11. ^ Weisstein, Eric W. "Statistical Correlation". mathworld.wolfram.com. Retrieved 22 August 2020.
  12. ^ Moriya, N. (2008). "Noise-related multivariate optimal joint-analysis in longitudinal stochastic processes". In Yang, Fengshan (ed.). Progress in Applied Mathematical Modeling. Nova Science Publishers, Inc. pp. 223–260. ISBN 978-1-60021-976-4.
  13. ^ Garren, Steven T. (15 June 1998). "Maximum likelihood estimation of the correlation coefficient in a bivariate normal model, with missing data". Statistics & Probability Letters. 38 (3): 281–288. doi:10.1016/S0167-7152(98)00035-2.
  14. ^ "Introductory Business Statistics: The Correlation Coefficient r". opentextbc.ca. Retrieved 21 August 2020.
  15. ^ Rodgers; Nicewander (1988). "Thirteen ways to look at the correlation coefficient" (PDF). The American Statistician. 42 (1): 59–66. doi:10.2307/2685263. JSTOR 2685263.
  16. ^ Schmid, John, Jr. (December 1947). "The relationship between the coefficient of correlation and the angle included between regression lines". The Journal of Educational Research. 41 (4): 311–313. doi:10.1080/00220671.1947.10881608. JSTOR 27528906.
  17. ^ Rummel, R.J. (1976). "Understanding Correlation". ch. 5 (as illustrated for a special case in the next paragraph).
  18. ^ Buda, Andrzej; Jarynowski, Andrzej (December 2010). Life Time of Correlations and its Applications. Wydawnictwo Niezależne. pp. 5–21. ISBN 9788391527290.
  19. ^ a b Cohen, J. (1988). Statistical Power Analysis for the Behavioral Sciences (2nd ed.).
  20. ^ Rahman, N. A. (1968) A Course in Theoretical Statistics, Charles Griffin and Company, 1968
  21. ^ Kendall, M. G., Stuart, A. (1973) The Advanced Theory of Statistics, Volume 2: Inference and Relationship, Griffin. ISBN 0-85264-215-6 (Section 31.19)
  22. ^ Soper, H.E.; Young, A.W.; Cave, B.M.; Lee, A.; Pearson, K. (1917). "On the distribution of the correlation coefficient in small samples. Appendix II to the papers of "Student" and R.A. Fisher. A co-operative study". Biometrika. 11 (4): 328–413. doi:10.1093/biomet/11.4.328.
  23. ^ Davey, Catherine E.; Grayden, David B.; Egan, Gary F.; Johnston, Leigh A. (January 2013). "Filtering induces correlation in fMRI resting state data". NeuroImage. 64: 728–740. doi:10.1016/j.neuroimage.2012.08.022. hdl:11343/44035. PMID 22939874. S2CID 207184701.
  24. ^ Hotelling, Harold (1953). "New Light on the Correlation Coefficient and its Transforms". Journal of the Royal Statistical Society. Series B (Methodological). 15 (2): 193–232. doi:10.1111/j.2517-6161.1953.tb00135.x. JSTOR 2983768.
  25. ^ Kenney, J.F.; Keeping, E.S. (1951). Mathematics of Statistics. Part 2 (2nd ed.). Princeton, NJ: Van Nostrand.
  26. ^ Weisstein, Eric W. "Correlation Coefficient—Bivariate Normal Distribution". mathworld.wolfram.com.
  27. ^ Lai, Chun Sing; Tao, Yingshan; Xu, Fangyuan; Ng, Wing W.Y.; Jia, Youwei; Yuan, Haoliang; Huang, Chao; Lai, Loi Lei; Xu, Zhao; Locatelli, Giorgio (January 2019). "A robust correlation analysis framework for imbalanced and dichotomous data with uncertainty" (PDF). Information Sciences. 470: 58–77. doi:10.1016/j.ins.2018.08.017.
  28. ^ a b Wilcox, Rand R. (2005). Introduction to robust estimation and hypothesis testing. Academic Press.
  29. ^ Devlin, Susan J.; Gnanadesikan, R.; Kettenring J.R. (1975). "Robust estimation and outlier detection with correlation coefficients". Biometrika. 62 (3): 531–545. doi:10.1093/biomet/62.3.531. JSTOR 2335508.
  30. ^ Huber, Peter. J. (2004). Robust Statistics. Wiley.
  31. ^ Katz., Mitchell H. (2006) Multivariable Analysis – A Practical Guide for Clinicians. 2nd Edition. Cambridge University Press. ISBN 978-0-521-54985-1. ISBN 0-521-54985-X doi:10.2277/052154985X
  32. ^ Hotelling, H. (1953). "New Light on the Correlation Coefficient and its Transforms". Journal of the Royal Statistical Society. Series B (Methodological). 15 (2): 193–232. doi:10.1111/j.2517-6161.1953.tb00135.x. JSTOR 2983768.
  33. ^ Olkin, Ingram; Pratt,John W. (March 1958). "Unbiased Estimation of Certain Correlation Coefficients". The Annals of Mathematical Statistics. 29 (1): 201–211. doi:10.1214/aoms/1177706717. JSTOR 2237306..
  34. ^ "Re: Compute a weighted correlation". sci.tech-archive.net.
  35. ^ "Weighted Correlation Matrix – File Exchange – MATLAB Central".
  36. ^ Nikolić, D; Muresan, RC; Feng, W; Singer, W (2012). "Scaled correlation analysis: a better way to compute a cross-correlogram" (PDF). European Journal of Neuroscience. 35 (5): 1–21. doi:10.1111/j.1460-9568.2011.07987.x. PMID 22324876. S2CID 4694570.
  37. ^ Fulekar (Ed.), M.H. (2009) Bioinformatics: Applications in Life and Environmental Sciences, Springer (pp. 110) ISBN 1-4020-8879-5
  38. ^ Immink, K. Schouhamer; Weber, J. (October 2010). "Minimum Pearson distance detection for multilevel channels with gain and / or offset mismatch". IEEE Transactions on Information Theory. 60 (10): 5966–5974. CiteSeerX 10.1.1.642.9971. doi:10.1109/tit.2014.2342744. S2CID 1027502. Retrieved 11 February 2018.
  39. ^ Jammalamadaka, S. Rao; SenGupta, A. (2001). Topics in circular statistics. New Jersey: World Scientific. p. 176. ISBN 978-981-02-3778-3. Retrieved 21 September 2016.
  40. ^ Cox, D.R.; Hinkley, D.V. (1974). Theoretical Statistics. Chapman & Hall. Appendix 3. ISBN 0-412-12420-3.

External links

  • "cocor". comparingcorrelations.org. – A free web interface and R package for the statistical comparison of two dependent or independent correlations with overlapping or non-overlapping variables.
  • "Correlation". nagysandor.eu. – an interactive Flash simulation on the correlation of two normally distributed variables.
  • "Correlation coefficient calculator". hackmath.net. Linear regression.
  • "Critical values for Pearson's correlation coefficient" (PDF). frank.mtsu.edu/~dkfuller. – large table.
  • "Guess the Correlation". – A game where players guess how correlated two variables in a scatter plot are, in order to gain a better understanding of the concept of correlation.
This article is copied from an article on Wikipedia® - the free encyclopedia created and edited by its online user community. The text was not checked or edited by anyone on our staff. Although the vast majority of Wikipedia® encyclopedia articles provide accurate and timely information, please do not assume the accuracy of any particular article. This article is distributed under the terms of GNU Free Documentation License.

Copyright © 2003-2025 Farlex, Inc Disclaimer
All content on this website, including dictionary, thesaurus, literature, geography, and other reference data is for informational purposes only. This information should not be considered complete, up to date, and is not intended to be used in place of a visit, consultation, or advice of a legal, medical, or any other professional.