Wikipedia

BoPET

Also found in: Dictionary.
(redirected from PET film (biaxially oriented))
Metallized boPET film, 32 layers of ~14 µm thickness each

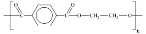
BoPET (biaxially-oriented polyethylene terephthalate) is a polyester film made from stretched polyethylene terephthalate (PET) and is used for its high tensile strength, chemical and dimensional stability, transparency, reflectivity, gas and aroma barrier properties, and electrical insulation.

A variety of companies manufacture boPET and other polyester films under different brand names. In the UK and US, the best-known trade names are Mylar, Melinex, and Hostaphan.[1]

History

BoPET film was developed in the mid-1950s,[2][3] originally by DuPont,[2] Imperial Chemical Industries (ICI), and Hoechst.

In 1955 Eastman Kodak used Mylar as a support for photographic film and called it "ESTAR Base".[4] The very thin and tough film allowed 6,000-foot (1,800 m) reels to be exposed on long-range U-2 reconnaissance flights.[5]

In 1964, NASA launched Echo II, a 40-metre (131 ft) diameter balloon constructed from a 9-micrometre (0.00035 in) thick mylar film sandwiched between two layers of 4.5-micrometre (0.00018 in) thick aluminium foil bonded together.[6]

Manufacture and properties

Chemical structure of polyethylene terephthalate

The manufacturing process begins with a film of molten polyethylene terephthalate (PET) being extruded onto a chill roll, which quenches it into the amorphous state.[7] It is then biaxially oriented by drawing. The most common way of doing this is the sequential process, in which the film is first drawn in the machine direction using heated rollers and subsequently drawn in the transverse direction, i.e. orthogonally to the direction of travel, in a heated oven. It is also possible to draw the film in both directions simultaneously, although the equipment required for this is somewhat more elaborate. Draw ratios are typically around 3 to 4 in each direction.

Once the drawing is completed, the film is "heat set" or crystallized under tension in the oven at temperatures typically above 200 °C (392 °F). The heat setting step prevents the film from shrinking back to its original unstretched shape and locks in the molecular orientation in the film plane. The orientation of the polymer chains is responsible for the high strength and stiffness of biaxially oriented PET film, which has a typical Young's modulus of about 4 GPa (0.58×106 psi). Another important consequence of the molecular orientation is that it induces the formation of many crystal nuclei. The crystallites that grow rapidly reach the boundary of the neighboring crystallite and remain smaller than the wavelength of visible light. As a result, biaxially oriented PET film has excellent clarity, despite its semicrystalline structure.

If it were produced without any additives, the surface of the film would be so smooth that layers would adhere strongly to one another when the film is wound up, similar to the sticking of clean glass plates when stacked. To make handling possible, microscopic inert inorganic particles are usually embedded in the PET to roughen the surface of the film such as silicon dioxide.[8]

Biaxially oriented PET film can be metallized by vapor deposition of a thin film of evaporated aluminium, gold, or other metal onto it. The result is much less permeable to gases (important in food packaging) and reflects up to 99% of light, including much of the infrared spectrum. For some applications like food packaging, the aluminized boPET film can be laminated with a layer of polyethylene, which provides sealability and improves puncture resistance. The polyethylene side of such a laminate appears dull and the boPET side shiny.

Other coatings, such as conductive indium tin oxide (ITO), can be applied to boPET film by sputter deposition.

Applications

Uses for boPET polyester films include, but are not limited to:

Flexible packaging and food contact

  • Laminates containing metallized boPET foil (in technical language called printin or laminate web substrate) protect food against oxidation and aroma loss, achieving long shelf life. Examples are coffee "foil" packaging and pouches for convenience foods.
  • White boPET web substrate is used as lidding for dairy goods such as yogurt.
  • Clear boPET web substrate is used as lidding for fresh or frozen ready meals. Due to its excellent heat resistance, it can remain on the package during microwave or oven heating.
  • Roasting bags
  • Metallised films
  • Laminated sheet metal (aluminium or steel) used in the manufacture of cans (bisphenol A-free alternative to lacquers)

Covering over paper

  • A clear overlay on a map, on which notations, additional data, or copied data, can be drawn without damaging the map
  • Metallized boPET is used as a mirror-like decorative surface on some book covers, T-shirts, and other flexible cloths.
  • Protective covering over buttons/pins/badges
  • The glossy top layer of a Polaroid SX-70 photographic print
  • As a backing for very fine sandpaper
  • boPET film is used in bagging comic books, in order to best protect them during storage from environmental conditions (moisture, heat, and cold) that would otherwise cause paper to slowly deteriorate over time. This material is used for archival quality storage of documents by the Library of Congress (Mylar® type D, ICI Melinex 516 or equivalent)[9][10] and several major library comic book research collections, including the Comic Art Collection at Michigan State University.[11] While boPET is widely (and effectively) used in this archival sense, it is not immune to the effects of fire and heat and could potentially melt, depending on the intensity of the heat source, causing further damage to the encased item.[12]
  • Similarly, trading card decks (such as Pokémon, Magic: The Gathering, and Yu-Gi-Oh!) are packaged in pouches or sleeves made of metallized boPET. It can also be used to make the holographic artwork featured on some cards, typically known as "holos", "foils", "shinies", or "holofoils".
  • For protecting the spine of important documents, such as medical records.

Insulating material

  • An electrical insulating material
  • Insulation for houses and tents, reflecting thermal radiation
  • Five layers of metallized boPET film in NASA's spacesuits make them radiation resistant and help regulate temperature.
  • Metallized boPET film emergency blankets conserve a shock victim's body heat.
  • As a thin strip to form an airtight seal between the control surfaces and adjacent structure of aircraft, especially gliders.
  • Light insulation for indoor gardening.
  • Fire shelters, used by wildland firefighters.
  • Aluminized proximity suits used by fire fighters for protection from the high amount of heat release from fuel fires.
  • Used in sock and glove liners to lock in warmth

Solar, marine and aviation

  • Metallized boPET is intended to be used for solar sails as an alternative means of propulsion for spacecraft such as Cosmos 1
  • Translucent Mylar film, as wide as 48" and in up to 12' in length, found widespread use as a non-dimensional engineering drawing media in the aerospace industry due to its dimensional stability (also see Printing Media section below). This allows production and engineering staff to lay manufactured parts directly over or under the drawing film in order to verify the fidelity of part profiles, hole locations and other part features.[13]
  • Metallized boPET solar curtains reflect sunlight and heat away from windows.
  • Aluminized, as an inexpensive solar eclipse viewer, although care must be taken, because invisible fissures can form in the metal film, reducing its effectiveness.
  • High performance sails for sailboats, hang gliders, paragliders and kites
  • Use boPET films as the back face of the PV modules in solar panels
  • Metallized boPET as a reflector material for solar cooking stoves
  • To bridge control surface gaps on sailplanes (gliders), reducing profile drag

Science

  • Amateur and professional visual and telescopic solar filters. BoPET films are often annealed to a glass element to improve thermal conductivity, and guarantee the necessary flat surface needed for even telescopic solar observation. Manufacturers will typically use films with thicknesses of 280–500 micrometres (0.011–0.020 in), in order to give the films better resilience. 250-micrometre (0.0098 in) thickness films with a heavy aluminium coating are generally preferred for naked-eye Solar observation during eclipses.
  • Films in annular ring mounts on gas-tight cells, will readily deform into spherical mirrors. Photomultiplier cosmic-ray observatories often make use of these mirrors for inexpensive large (1.0 m and above), lightweight mirror surfaces for sky-sector low and medium energy cosmic ray research.
  • As a light diaphragm material separating gases in hypersonic shock and expansion tube facilities.
  • As a beamsplitter in Fourier transform infrared spectroscopy, typically with laser applications. Film thicknesses are often in the 500 micrometre range.
  • Coating around hematocrit tubes.
  • Insulating material for a cryocooler radiation shield.
  • As a window material to confine gas in detectors and targets in nuclear physics.
  • In CT scanners it acts as a physical barrier between the xray-tube, detector ring and the patient allowing negligible attenuation of the xray beam when active.
  • Spacecraft are insulated with a metallized BoPET film.
  • The Descent stage of the apollo's lunar module is covered in BoPET because it's lightweight and made sure the inside temperature of the inside of the desecent stage (where a significant amount of apperature was stored) was normal.

Electronic and acoustic

  • Carrier for flexible printed circuits.
  • boPET film is often used as the diaphragm material in headphones, electrostatic loudspeakers and microphones.
  • boPET film has been used in the production of banjo & drumheads since 1958 due to its durability and acoustical properties when stretched over the bearing edge of the drum. They are made in single- and double-ply versions, with each ply being 2–10 mils (0.051–0.254 mm) in thickness, with a transparent or opaque surface, originally used by the company Evans.
  • boPET film is used as the substrate in practically all magnetic recording tapes and floppy disks.
  • Metallized boPET film, along with other plastic films, is used as a dielectric in foil capacitors.
  • Clear boPET bags are used as packaging for audio media such as compact discs and vinyl records.
  • Clear and white boPET films are used as core layers and overlays in Smart Cards.

Printing media

  • Before the widespread adoption of CAD, engineering drawings or architectural drawings were plotted onto sheets of boPET film, known as drafting film. The boPET sheets become legal documents from which copies or blueprints are made. boPET sheets are more durable and can withstand more handling than bond paper. Although "blueprint" duplication has fallen out of use, mylar is still used for its archival properties, typically as a record set of plans for building departments to keep on file.
  • Overhead transparency film for photocopiers or laser printers (boPET film withstands the high heat).
  • Modern Lithography printing plates aka "Pronto Plates" (boPET resists oil)

Other

  • Balloons, metallic balloons.
  • Route information signs, called rollsigns or destination blinds, displayed by public transport vehicles
  • For materials in kites
  • Covering glass to decrease probability of shattering
  • In theatre effects such as confetti.
  • As the adhesive strip to attach the string to a teabag
  • One of the many materials used as windsavers or valves for valved harmonicas
  • On farmland and domestic gardens, highly reflective aluminized PET film ribbons are used to keep birds away from plants.
  • Measuring tape
  • Protecting pinball machine playfields from wear
  • Used in dentistry when restoring teeth with composite.
  • In nail polish, as a coloured and finely shredded additive to create a glitter effect.
  • Numismatics – Storing coins for long periods of time. PVC was previously used for this, but over long periods of time PVC can release chlorine, which reacts with the silver and copper in coins. boPET does not have this problem.

References

  1. ^ Mark T. DeMeuse (2011). Biaxial Stretching of Film: Principles And Applications. Elsevier. p. 48. ISBN 9780857092953.
  2. ^ a b Izard, Emmette Farr, "Production of polyethylene terephthalate", U.S. patent no. 2,534,028 (filed: 1948 May 13; issued: 1950 December 12).
  3. ^ Adams, John Francis Edward; Gerber, Kenneth George; Holmes-Walker, William Anthony, "Process for the production of biaxially oriented polyethylene terephthalate film", U.S. patent no. 3,177,277 (filed: 1957 May 10 ; issued: 1965 April 6).
  4. ^ "Kodak HCF Film/ESTAR Base" (PDF). www.kodak.com. Eastman Kodak Company. April 2015. Retrieved 2018-08-24.
  5. ^ Eyes in the Sky, Dino A. Brugioni 2010, Naval Institute Press, ISBN 978 1 59114 082 5, pp. 102, 115.
  6. ^ Staugaitis, C. & Kobren, L. (1966) "Mechanical And Physical Properties of the Echo II Metal-Polymer Laminate (NASA TN D-3409)", NASA Goddard Space Flight Center.
  7. ^ "Process Flow". Ampef.com. Archived from the original on 2017-11-20. Retrieved 2018-08-24.
  8. ^ Thiel, Ulrich. "Polyester Additives" (PDF). Dr. Thiele Polyester Technology. Retrieved 4 January 2019.
  9. ^ "Specifications for Polyester: Poly(ethylene-terephthalate)". Preservation. Library of Congress. Archived from the original on June 23, 2004.
  10. ^ "What is Mylar Paper - More Than Just Decoration". Jampaper.com. Retrieved 2015-07-02.
  11. ^ Scott, Randall W. (1998). "A Practicing Comic-Book Librarian Surveys His Collection and Craft". Serials Review. 24 (1): 49–56. doi:10.1080/00987913.1998.10764429.
  12. ^ Kristen Heinichen (June 17, 2008). "Albany library's entire collection exposed to smoke". Athens Messenger. Archived from the original on 2015-07-03. Retrieved 2015-07-02 – via Athens County Public Libraries.
  13. ^ "How to Convert Mylar Aerospace Drawings to 3D CAD". CAD / CAM Services.

External links

This article is copied from an article on Wikipedia® - the free encyclopedia created and edited by its online user community. The text was not checked or edited by anyone on our staff. Although the vast majority of Wikipedia® encyclopedia articles provide accurate and timely information, please do not assume the accuracy of any particular article. This article is distributed under the terms of GNU Free Documentation License.

Copyright © 2003-2025 Farlex, Inc Disclaimer
All content on this website, including dictionary, thesaurus, literature, geography, and other reference data is for informational purposes only. This information should not be considered complete, up to date, and is not intended to be used in place of a visit, consultation, or advice of a legal, medical, or any other professional.