Wikipedia

Bis(2-ethylhexyl) phthalate

Also found in: Encyclopedia.
Bis(2-ethylhexyl) phthalate
Bis(2-ethylhexyl) phthalate
Dioctyl phthalate 3D.png
Names
Preferred IUPAC name
Bis(2-ethylhexyl) benzene-1,2-dicarboxylate
Other names
Bis(2-ethylhexyl) phthalate
Di-sec octyl phthalate
DEHP
Octyl phthalate
Identifiers
3D model (JSmol)
ChEBI
ChEMBL
ChemSpider
ECHA InfoCard 100.003.829 Edit this at Wikidata
EC Number
  • 204-211-0 617-060-4
KEGG
RTECS number
  • TI0350000
UNII
CompTox Dashboard (EPA)
Properties
C24H38O4
Molar mass 390.564 g·mol−1
Appearance colorless, oily liquid[1]
Density 0.99 g/mL (20°C)[1]
Melting point −50 °C (−58 °F; 223 K)
Boiling point 385 °C (725 °F; 658 K)
0.00003% (23.8°C)[1]
Vapor pressure <0.01 mmHg (20°C)[1]
1.4870[2]
Hazards
Main hazards Irritant, teratogen
GHS pictograms GHS07: HarmfulGHS08: Health hazardGHS09: Environmental hazard
GHS Signal word Danger
GHS hazard statements
H320, H335, H351, H360, H362, H373, H400, H411
GHS precautionary statements
P201, P202, P260, P261, P263, P264, P270, P271, P273, P281, P304+340, P305+351+338, P308+313, P312, P314, P337+313, P391, P403+233, P405, P501
NFPA 704 (fire diamond)
NFPA 704 four-colored diamond
1
0
0
Flash point 216 °C; 420 °F; 489 K (open cup)[1]
Explosive limits 0.3%-?[1]
Lethal dose or concentration (LD, LC):
34,000 mg/kg (oral, rabbit)
26,000 mg/kg (oral, guinea pig)
30,600 mg/kg (oral, rat)
30,000 mg/kg (oral, mouse)[3]
NIOSH (US health exposure limits):
PEL (Permissible)
TWA 5 mg/m3[1]
REL (Recommended)
Ca TWA 5 mg/m3 ST 10 mg/m3[1]
IDLH (Immediate danger)
Ca [5000 mg/m3][1]
Except where otherwise noted, data are given for materials in their standard state (at 25 °C [77 °F], 100 kPa).

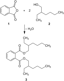
Bis(2-ethylhexyl) phthalate (di-2-ethylhexyl phthalate, diethylhexyl phthalate, DEHP; dioctyl phthalate, DOP) is an organic compound with the formula C6H4(CO2C8H17)2. DEHP is the most common member of the class of phthalates, which are used as plasticizers. It is the diester of phthalic acid and the branched-chain 2-ethylhexanol. This colorless viscous liquid is soluble in oil, but not in water.

Production

The 3 stereoisomers of DEHP

Industrial production entails the reaction of phthalic anhydride with 2-ethylhexanol:

DEHP Synthesis V1.svg

2-Ethylhexanol is chiral, and the resultant DEHP consists of a mixture of (R,R)-, (S,S)-, and meso-isomers (left).

Use

PVC is used extensively in sewage pipe due to its low cost, chemical resistance, and ease of jointing. Phthalate plasticizers are essential for the utility of PVC, which is too brittle otherwise.[4]

Due to its suitable properties and the low cost, DEHP is widely used as a plasticizer in manufacturing of articles made of PVC.[4] Plastics may contain 1% to 40% of DEHP. It is also used as a hydraulic fluid and as a dielectric fluid in capacitors. DEHP also finds use as a solvent in glowsticks.

Approximately three billion kilograms are produced and used annually worldwide.[4]

Manufacturers of flexible PVC articles can choose among several alternative plasticizers offering similar technical properties as DEHP. These alternatives include other phthalates such as diisononyl phthalate (DINP), di-2-propyl heptyl phthalate (DPHP), diisodecyl phthalate (DIDP), and non-phthalates such as 1,2-cyclohexane dicarboxylic acid diisononyl ester (DINCH), dioctyl terephthalate (DOTP), and citrate esters.

Environmental exposure

DEHP is a component of many household items, including tablecloths, floor tiles, shower curtains, garden hoses, rainwear, dolls, toys, shoes, medical tubing, furniture upholstery, and swimming pool liners.[5] DEHP is an indoor air pollutant in homes and schools. Common exposures come from the use of DEHP as a fragrance carrier in cosmetics, personal care products, laundry detergents, colognes, scented candles, and air fresheners.[6] The most common exposure to DEHP comes through food with an average consumption of 0.25 milligrams per day.[7] It can also leach into a liquid that comes in contact with the plastic; it extracts faster into nonpolar solvents (e.g. oils and fats in foods packed in PVC). Fatty foods that are packaged in plastics that contain DEHP are more likely to have higher concentrations such as milk products, fish or seafood, and oils.[5] Food and Drug Administration (FDA) therefore permits use of DEHP-containing packaging only for foods that primarily contain water.

DEHP can leach into drinking water from discharges from rubber and chemical factories; The US EPA limits for DEHP in drinking water is 6 ppb.[7] It is also commonly found in bottled water, but unlike tap water, the EPA does not regulate levels in bottled water.[6] DEHP levels in some European samples of milk, were found at 2000 times higher than the EPA Safe Drinking Water limits (12,000 ppb). Levels of DEHP in some European cheeses and creams were even higher, up to 200,000 ppb, in 1994.[8] Additionally, workers in factories that utilize DEHP in production experience greater exposure.[5] The U.S. agency OSHA's limit for occupational exposure is 5 mg/m3 of air.[9]

Use in medical devices

DEHP is the most common phthalate plasticizer in medical devices such as intravenous tubing and bags, IV catheters, nasogastric tubes, dialysis bags and tubing, blood bags and transfusion tubing, and air tubes. DEHP makes these plastics softer and more flexible and was first introduced in the 1940s in blood bags. For this reason, concern has been expressed about leachates of DEHP transported into the patient, especially for those requiring extensive infusions or those who are at the highest risk of developmental abnormalities, e.g. newborns in intensive care nursery settings, hemophiliacs, kidney dialysis patients, neonates, premature babies, lactating, and pregnant women. According to the European Commission Scientific Committee on Health and Environmental Risks (SCHER), exposure to DEHP may exceed the tolerable daily intake in some specific population groups, namely people exposed through medical procedures such as kidney dialysis.[10] The American Academy of Pediatrics has advocated not to use medical devices that can leach DEHP into patients and, instead, to resort to DEHP-free alternatives.[11] In July 2002, the U.S. FDA issued a Public Health Notification on DEHP, stating in part, "We recommend considering such alternatives when these high-risk procedures are to be performed on male neonates, pregnant women who are carrying male fetuses, and peripubertal males" noting that the alternatives were to look for non-DEHP exposure solutions;[12] they mention a database of alternatives.[13] The CBC documentary The Disappearing Male raised concerns about sexual development in male fetal development, miscarriage), and as a cause of dramatically lower sperm counts in men.[14] A review article in 2010 in the Journal of Transfusion Medicine showed a consensus that the benefits of a lifesaving treatments with these devices far outweigh the risks of DEHP leaching out of these devices. Although more research is needed to develop alternatives to DEHP that gives the same benefits of being soft and flexible which are required for most medical procedures. If a procedure requires one of these devices and if patient is at high risk to suffer from DEHP then a DEHP alternative should be considered if medically safe.[15]

Metabolism

DEHP hydrolyzes to mono-ethylhexyl phthalate (MEHP) and subsequently to phthalate salts. The released alcohol is susceptible to oxidation to the aldehyde and carboxylic acid.[4]

Effects on living organisms

Toxicity

The acute toxicity of DEHP is low in animal models: 30 g/kg in rats (oral) and 24 g/kg in rabbits (dermal).[4] Concerns instead focus on its potential as an endocrine disruptor.

Endocrine disruption

DEHP, along with other phthalates, is believed to cause endocrine disruption in males, through its action as an androgen antagonist,[16] and may have lasting effects on reproductive function, for both childhood and adult exposures. Prenatal phthalate exposure has been shown to be associated with lower levels of reproductive function in adolescent males.[17] In another study, airborne concentrations of DEHP at a PVC pellet plant were significantly associated with a reduction in sperm motility and chromatin DNA integrity.[18] Additionally, the authors noted the daily intake estimates for DEHP were comparable to the general population, indicating a “high percentage of men are exposed to levels of DEHP that may affect sperm motility and chromatin DNA integrity”.

Development

Numerous studies of DEHP have shown changes in sexual function and development in mice and rats. DEHP exposure during pregnancy has been shown to disrupt placental growth and development in mice, resulting in higher rates of low birthweight, premature birth, and fetal loss.[19] In a separate study, exposure of neonatal mice to DEHP through lactation caused hypertrophy of the adrenal glands and higher levels of anxiety during puberty.[20] In another study, pubertal administration of higher-dose DEHP delayed puberty in rats, reduced testosterone production, and inhibited androgen-dependent development; low doses showed no effect.[21]

Obesity

When DEHP is ingested intestinal lipases convert it to MEHP, which then is absorbed. MEHP is suspected to have an obesogenic effect. Rodent studies and human studies have shown DEHP to be a possible disruptor of thyroid function, which plays a key role in energy balance and metabolism. Exposure to DEHP has been associated with lower plasma thyroxine levels and decreased uptake of iodine in thyroid follicular cells. Previous studies have shown that slight changes in thyroxine levels can have dramatic effects on resting energy expenditure, similar to that of patients with hypothyroidism, which has been shown to cause increased weight gain in those study populations.[22]

Cardiotoxicity

Even at relatively low doses of DEHP, cardiovascular reactivity was significantly affected in mice.[23] A clinically relevant dose and duration of exposure to DEHP has been shown to have a significant impact on the behavior of cardiac cells in culture. This includes an uncoupling effect that leads to irregular rhythms in vitro. Untreated cells had fast conduction velocity, along with homogenous activation wave fronts and synchronized beating. Cells treated with DEHP exhibited fractured wave fronts with slow propagation speeds. This is observed in conjunction with a significant decrease in the amount of expression and instability of gap junctional connexin proteins, specifically connexin-43, in cardiomyocytes treated with DEHP.[24]

The decrease in expression and instability of connexin-43 may be due to the down regulation of tubulin and kinesin genes, and the alteration of microtubule structure, caused by DEHP; all of which are responsible for the transport of protein products. Also, DEHP caused down regulation of several growth factors, such as angiotensinogen, transforming growth factor-beta, vascular endothelial growth factor C and A, and endothelial-1. The DEHP-induced down regulation of these growth factors may also contribute to the reduced expression and instability of connexin-43.[25]

DEHP has also been shown, in vitro using cardiac muscle cells, to cause activation of PPAR-alpha gene, which is a key regulator in lipid metabolism and peroxisome proliferation; both of which can be involved in atherosclerosis and hyperlipidemia, which are precursors of cardio vascular disease.[26]

Other health effects

Studies in mice have shown other adverse health effects due to DEHP exposure. Ingestion of 0.01% DEHP caused damage to the blood-testis barrier as well as induction of experimental autoimmune orchitis.[27] There is also a correlation between DEHP plasma levels in women and endometriosis.[28]

DEHP is also a possible cancer causing agent in humans, although human studies remain inconclusive, due to the exposure of multiple elements and limited research. In vitro and rodent studies indicate that DEHP is involved in many molecular events, including increased cell proliferation, decreased apoptosis, oxidative damage, and selective clonal expansion of the initiated cells; all of which take place in multiple sites of the human body.[29]

Government and industry response

Taiwan

In October 2009, Consumers’ Foundation, Chinese Taipei (CFCT) published test results[30] that found 5 out of the sampled 12 shoes contained over 0.1% of phthalate plasticizer content, including DEHP, which exceeds the government’s Toy Safety Standard (CNS 4797). CFCT recommend that users should first wear socks to avoid direct skin contact.

In May 2011, the illegal use of the plasticizer DEHP in clouding agents for use in food and beverages has been reported in Taiwan.[31] An inspection of products initially discovered the presence of plasticizers. As more products were tested, inspectors found more manufacturers using DEHP and DINP.[32] The Department of Health confirmed that contaminated food and beverages had been exported to other countries and regions, which reveals the widespread prevalence of toxic plasticizers.

European Union

Concerns about chemicals ingested by children when chewing plastic toys prompted the European Commission to order a temporary ban on phthalates in 1999, the decision of which is based on an opinion by the Commission’s Scientific Committee on Toxicity, Ecotoxicity and the Environment (CSTEE). A proposal to make the ban permanent was tabled. Until 2004, EU banned the use of DEHP along with several other phthalates (DBP, BBP, DINP, DIDP and DNOP) in toys for young children.[33] In 2005, the Council and the Parliament compromised to propose a ban on three types of phthalates (DINP, DIDP, and DNOP) “in toys and childcare articles which can be placed in the mouth by children”. Therefore, more products than initially planned will thus be affected by the directive.[34] In 2008, six substances were considered to be of very high concern (SVHCs) and added to the Candidate List including musk xylene, MDA, HBCDD, DEHP, BBP, and DBP. In 2011, those six substances have been listed for Authorization in Annex XIV of REACH by Regulation (EU) No 143/2011.[35] According to the regulation, phthalates including DEHP, BBP and DBP will be banned from February 2015.[36]

In 2012, Danish Environment Minister Ida Auken announced the ban of DEHP, DBP, DIBP and BBP, pushing Denmark ahead of the European Union which has already started a process of phasing out phthalates.[37] However, it was postponed by two years and would take effect in 2015 and not in December 2013, which was the initial plan. The reason is that the four phthalates are far more common than expected and that producers cannot phase out phthalates as fast as the Ministry of Environment requested.[38]

In 2012, France became the first country in the EU to ban the use of DEHP in pediatrics, neonatal, and maternity wards in hospitals.[39]

DEHP has now been classified as a Category 1B reprotoxin,[40] and is now on the Annex XIV of the European Union’s REACH legislation. DEHP has been phased out in Europe under REACH and can only be used in specific cases if an authorization has been granted. Authorizations are granted by the European Commission, after obtaining the opinion of the Committee for Risk Assessment (RAC) and the Committee for Socio-economic Analysis (SEAC) of the European Chemicals Agency (ECHA). The latest regulatory update and timeline review as at August 2020.[41]

California

DEHP is classified as a “chemical known to the State of California to cause cancer and birth defects or other reproductive harm” (in this case, both) under the terms of Proposition 65.[42]

References

  1. ^ a b c d e f g h i NIOSH Pocket Guide to Chemical Hazards. "#0236". National Institute for Occupational Safety and Health (NIOSH).
  2. ^ Alfa Aesar. "117-81-7 - Bis(2-ethylhexyl) phthalate, 98+% - Dioctyl phthalate - Phthalic acid bis(2-ethylhexyl)ester - A10415 - Alfa Aesar". www.alfa.com. Thermo Fischer Scientific. Retrieved 30 April 2020.
  3. ^ "Di-sec octyl phthalate". Immediately Dangerous to Life or Health Concentrations (IDLH). National Institute for Occupational Safety and Health (NIOSH). 4 December 2014. Retrieved 17 March 2015.
  4. ^ a b c d e Lorz, Peter M.; Towae, Friedrich K.; Enke, Walter; Jäckh, Rudolf; Bhargava, Naresh; Hillesheim, Wolfgang (2007). "Phthalic Acid and Derivatives". doi:10.1002/14356007.a20_181.pub2.
  5. ^ a b c "ATSDR - ToxFAQs™: Di(2-ethylhexyl)phthalate (DEHP)". www.atsdr.cdc.gov. Retrieved 2015-10-27.
  6. ^ a b "EHHI :: Plastics :: EHHI Releases Original Research Report:Plastics That May be Harmful to Children and Reproductive Health". www.ehhi.org. Retrieved 2015-10-27.
  7. ^ a b OW, US EPA. "Basic Information about Di(2-ethylhexyl) phthalate in Drinking Water". water.epa.gov. Retrieved 2015-10-27.
  8. ^ Sharman, M; Read, WA; Castle, L; Gilbert, J (1994). "Levels of di-(2-ethylhexyl)phthalate and total phthalate esters in milk, cream, butter and cheese". Food additives and contaminants. 11 (3): 375–85. doi:10.1080/02652039409374236. PMID 7926171.
  9. ^ "Chemical Sampling Information | Di-(2-Ethylhexyl)phthalate". www.osha.gov. Retrieved 2015-10-27.
  10. ^ "Phthalates in school supplies". GreenFacts Website. Retrieved 2009-06-10.
  11. ^ Shea, Katherine M. (2003). "Pediatric exposure and potential toxicity of phthalate plasticizers". Pediatrics. 111 (6 Pt 1): 1467–74. PMID 12777573.
  12. ^ FDA Public Health Notification: PVC Devices Containing the Plasticizer DEHP, USFDA July 12, 2002
  13. ^ Products for Hazard: DEHP Archived 2010-07-15 at the Wayback Machine, Sustainable Hospitals
  14. ^ The Disappearing Male – Sunday February 14, 2010 at 3 pm on CBC-TV, CBC
  15. ^ Sampson, J; de Korte, D (2011). "DEHP-plasticised PVC: relevance to blood services". Transfusion Medicine. 21 (2): 73–83. doi:10.1111/j.1365-3148.2010.01056.x. PMID 21143327.
  16. ^ CDC Main. "Biomonitoring Summary Phthalates Overview".
  17. ^ Axelsson, Jonatan; Rylander, Lars; Rignell-Hydbom, Anna; Lindh, Christian H.; Jönsson, Bo A.G.; Giwercman, Aleksander (2015). "Prenatal phthalate exposure and reproductive function in young men". Environmental Research. 138: 264–70. Bibcode:2015ER....138..264A. doi:10.1016/j.envres.2015.02.024. PMID 25743932.
  18. ^ Huang, Li-Ping; Lee, Ching-Chang; Hsu, Ping-Chi; Shih, Tung-Sheng (2011). "The association between semen quality in workers and the concentration of di(2-ethylhexyl) phthalate in polyvinyl chloride pellet plant air". Fertility and Sterility. 96 (1): 90–4. doi:10.1016/j.fertnstert.2011.04.093. PMID 21621774.
  19. ^ Lin, Ming-Lu; Wang, Dean-Chuan; Chen, Shih-Chieh (April 2013). "Lactational exposure to DEHP induced adrenocortical hypertrophy and anxiety-like behavior in rats". The FASEB Journal. 27 (1 Supplement): 936.15. doi:10.1096/fasebj.27.1_supplement.936.15.
  20. ^ Zong, Teng; Lai, Lidan; Hu, Jia; Guo, Meijun; Li, Mo; Zhang, Lu; Zhong, Chengxue; Yang, Bei; Wu, Lei; Zhang, Dalei; Tang, Min; Kuang, Haibin (2015). "Maternal exposure to di-(2-ethylhexyl) phthalate disrupts placental growth and development in pregnant mice". Journal of Hazardous Materials. 297: 25–33. doi:10.1016/j.jhazmat.2015.04.065. PMID 25935407.
  21. ^ Noriega, N. C.; Howdeshell, K. L.; Furr, J.; Lambright, C. R.; Wilson, V. S.; Gray, L. E. (2009). "Pubertal Administration of DEHP Delays Puberty, Suppresses Testosterone Production, and Inhibits Reproductive Tract Development in Male Sprague-Dawley and Long-Evans Rats". Toxicological Sciences. 111 (1): 163–78. doi:10.1093/toxsci/kfp129. PMID 19528224.
  22. ^ Kim, Shin Hye; Park, Mi Jung (2014). "Phthalate exposure and childhood obesity". Annals of Pediatric Endocrinology & Metabolism. 19 (2): 69–75. doi:10.6065/apem.2014.19.2.69. PMC 4114051. PMID 25077088.
  23. ^ Jaimes, Rafael (2017). "Plastics and cardiovascular health: phthalates may disrupt heart rate variability and cardiovascular reactivity". Am J Physiol Heart Circ Physiol. 313: H1044–H1053. doi:10.1152/ajpheart.00364.2017. PMC 5792203. PMID 28842438.
  24. ^ Gillum, Nikki; Karabekian, Zaruhi; Swift, Luther M.; Brown, Ronald P.; Kay, Matthew W.; Sarvazyan, Narine (2009). "Clinically relevant concentrations of di (2-ethylhexyl) phthalate (DEHP) uncouple cardiac syncytium". Toxicology and Applied Pharmacology. 236 (1): 25–38. doi:10.1016/j.taap.2008.12.027. PMC 2670944. PMID 19344669.
  25. ^ Yang, Oneyeol; Kim, Hye Lim; Weon, Jong-Il; Seo, Young Rok (2015). "Endocrine-disrupting Chemicals: Review of Toxicological Mechanisms Using Molecular Pathway Analysis". Journal of Cancer Prevention. 20 (1): 12–24. doi:10.15430/JCP.2015.20.1.12. PMC 4384711. PMID 25853100.
  26. ^ Posnack, Nikki Gillum; Lee, Norman H.; Brown, Ronald; Sarvazyan, Narine (2011). "Gene expression profiling of DEHP-treated cardiomyocytes reveals potential causes of phthalate arrhythmogenicity". Toxicology. 279 (1–3): 54–64. doi:10.1016/j.tox.2010.09.007. PMC 3003946. PMID 20920545.
  27. ^ Hirai, Shuichi; Naito, Munekazu; Kuramasu, Miyuki; Ogawa, Yuki; Terayama, Hayato; Qu, Ning; Hatayama, Naoyuki; Hayashi, Shogo; Itoh, Masahiro (2015). "Low-dose exposure to di-(2-ethylhexyl) phthalate (DEHP) increases susceptibility to testicular autoimmunity in mice". Reproductive Biology. 15 (3): 163–71. doi:10.1016/j.repbio.2015.06.004. PMID 26370459.
  28. ^ Kim, Sung Hoon; Chun, Sail; Jang, Jin Yeon; Chae, Hee Dong; Kim, Chung-Hoon; Kang, Byung Moon (2011). "Increased plasma levels of phthalate esters in women with advanced-stage endometriosis: a prospective case-control study". Fertility and Sterility. 95 (1): 357–9. doi:10.1016/j.fertnstert.2010.07.1059. PMID 20797718.
  29. ^ Rusyn, Ivan; Corton, J. Christopher (2012). "Mechanistic considerations for human relevance of cancer hazard of di(2-ethylhexyl) phthalate". Mutation Research/Reviews in Mutation Research. 750 (2): 141–58. doi:10.1016/j.mrrev.2011.12.004. PMC 3348351. PMID 22198209.
  30. ^ 《消費者報導雜誌》342期 第4至11頁「跟著流行走?踩著危機走!園丁鞋逾4成可塑劑超量」 (in Chinese). Consumers’ Foundation, Chinese Taipei (CFCT).
  31. ^ FOOD SCARE WIDENS:Tainted additives used for two decades: manufacturer, Taipei Times, May 29, 2011
  32. ^ 生活中心綜合報導 (2011-05-23). 塑化劑危機!台灣海洋深層水等4廠商飲料緊急下架 (in Chinese). NOWnews. Retrieved 2011-05-25.
  33. ^ "EU ministers agree to ban chemicals in toys". EurActiv.com. 2004-10-07.
  34. ^ "Phthalates to be banned in toys and childcare articles". EurActiv.com. 2005-06-27.
  35. ^ http://www.intertek.com/uploadedFiles/Intertek/Divisions/Consumer_Goods/Media/PDFs/Sparkles/2011/sparkle559.pdf
  36. ^ "First REACH substance bans to apply from 2014". European Solvents Industry Group. 2011-02-18. Archived from the original on 2015-07-21. Retrieved 2013-10-24.
  37. ^ "Denmark defies EU with planned ban on phthalate chemicals". EurActiv.com. 2012-08-27.
  38. ^ http://www.dehp-facts.com/module/news/display/newsdisplay.aspx?news=45
  39. ^ "The legacy of Healthier Hospitals | Practice Greenhealth". practicegreenhealth.org. Retrieved 2021-01-18.
  40. ^ "Classifications - CL Inventory". echa.europa.eu. Retrieved 2021-01-18.
  41. ^ https://pvcmed.org/wp-content/uploads/2020/08/DEHP_Timeline_5.pdf
  42. ^ "Di(2-ethylhexyl)phthalate (DEHP)". oehha.ca.gov. Retrieved 2021-01-18.

Further reading

  • Maradonna, Francesca; Evangelisti, Matteo; Gioacchini, Giorgia; Migliarini, Beatrice; Olivotto, Ike; Carnevali, Oliana (2013). "Assay of vtg, ERs and PPARs as endpoint for the rapid in vitro screening of the harmful effect of Di-(2-ethylhexyl)-phthalate (DEHP) and phthalic acid (PA) in zebrafish primary hepatocyte cultures". Toxicology in Vitro. 27 (1): 84–91. doi:10.1016/j.tiv.2012.09.018. PMID 23063876.

External links

This article is copied from an article on Wikipedia® - the free encyclopedia created and edited by its online user community. The text was not checked or edited by anyone on our staff. Although the vast majority of Wikipedia® encyclopedia articles provide accurate and timely information, please do not assume the accuracy of any particular article. This article is distributed under the terms of GNU Free Documentation License.

Copyright © 2003-2025 Farlex, Inc Disclaimer
All content on this website, including dictionary, thesaurus, literature, geography, and other reference data is for informational purposes only. This information should not be considered complete, up to date, and is not intended to be used in place of a visit, consultation, or advice of a legal, medical, or any other professional.