Wikipedia

Mitomycins

Also found in: Dictionary, Medical, Encyclopedia.
(redirected from mitomycin)
Chemical structure of mitomycin C

The mitomycins are a family of aziridine-containing natural products isolated from Streptomyces caespitosus or Streptomyces lavendulae.[1][2] They include mitomycin A, mitomycin B, and mitomycin C. When the name mitomycin occurs alone, it usually refers to mitomycin C, its international nonproprietary name. Mitomycin C is used as a medicine for treating various disorders associated with the growth and spread of cells.

Biosynthesis

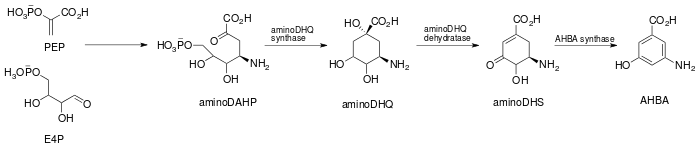
In general, the biosynthesis of all mitomycins proceeds via combination of 3-amino-5-hydroxybenzoic acid (AHBA), D-glucosamine, and carbamoyl phosphate, to form the mitosane core, followed by specific tailoring steps.[3] The key intermediate, AHBA, is a common precursor to other anticancer drugs, such as rifamycin and ansamycin.

Specifically, the biosynthesis begins with the addition of phosphoenolpyruvate (PEP) to erythrose-4-phosphate (E4P) with a yet undiscovered enzyme, which is then ammoniated to give 4-amino-3-deoxy-D-arabino heptulosonic acid-7-phosphate (aminoDHAP). Next, DHQ synthase catalyzes a ring closure to give 4-amino3-dehydroquinate (aminoDHQ), which then undergoes a double oxidation via aminoDHQ dehydratase to give 4-amino-dehydroshikimate (aminoDHS). The key intermediate, 3-amino-5-hydroxybenzoic acid (AHBA), is made via aromatization by AHBA synthase.

Mitomycin c AHBA.svg

Synthesis of the key intermediate, 3-amino-5-hydroxy-benzoic acid.

The mitosane core is synthesized as shown below via condensation of AHBA and D-glucosamine, although no specific enzyme has been characterized that mediates this transformation. Once this condensation has occurred, the mitosane core is tailored by a variety of enzymes. Both the sequence and the identity of these steps are yet to be determined.

  • Complete reduction of C-6 – Likely via F420-dependent tetrahydromethanopterin (H4MPT) reductase and H4MPT:CoM methyltransferase
  • Hydroxylation of C-5, C-7 (followed by transamination), and C-9a. – Likely via cytochrome P450 monooxygenase or benzoate hydroxylase
  • O-Methylation at C-9a – Likely via SAM dependent methyltransferase
  • Oxidation at C-5 and C8 – Unknown
  • Intramolecular amination to form aziridine – Unknown
  • Carbamoylation at C-10 – Carbamoyl transferase, with carbamoyl phosphate (C4P) being derived from L-citrulline or L-arginine

Mitomycin c tailoring.svg

Biological effects

In the bacterium Legionella pneumophila, mitomycin C induces competence for transformation.[4] Natural transformation is a process of DNA transfer between cells, and is regarded as a form of bacterial sexual interaction. In the fruit fly Drosophila melanogaster, exposure to mitomycin C increases recombination during meiosis, a key stage of the sexual cycle.[5] In the plant Arabidopsis thaliana, mutant strains defective in genes necessary for recombination during meiosis and mitosis are hypersensitive to killing by mitomycin C.[6]

Medicinal uses and research

Mitomycin C has been shown to have activity against stationary phase persisters caused by Borrelia burgdorferi, a factor in lyme disease.[7][8] Mitomycin C is used to treat symptoms of pancreatic and stomach cancer,[9] and is under clinical research for its potential to treat gastrointestinal strictures,[10] wound healing from glaucoma surgery,[11] corneal excimer laser surgery[12] and endoscopic dacryocystorhinostomy.[13]

References

  1. ^ Clokie, Martha R. J.; Kropinski, Andrew M. (Andrew Maitland Boleslaw) (2009). Bacteriophages : methods and protocols. Humana Press. ISBN 9781603271646. OCLC 297169927.
  2. ^ Danshiitsoodol N, de Pinho CA, Matoba Y, Kumagai T, Sugiyama M (2006). "The mitomycin C (MMC)-binding protein from MMC-producing microorganisms protects from the lethal effect of bleomycin: crystallographic analysis to elucidate the binding mode of the antibiotic to the protein". J Mol Biol. 360 (2): 398–408. doi:10.1016/j.jmb.2006.05.017. PMID 16756991.
  3. ^ Mao Y.; Varoglu M.; Sherman D.H. (April 1999). "Molecular characterization and analysis of the biosynthetic gene cluster for the antitumor antibiotic mitomycin C from Streptomyces Iavendulae NRRL 2564". Chemistry and Biology. 6 (4): 251–263. doi:10.1016/S1074-5521(99)80040-4. PMID 10099135.
  4. ^ Charpentier X, Kay E, Schneider D, Shuman HA (March 2011). "Antibiotics and UV radiation induce competence for natural transformation in Legionella pneumophila". J. Bacteriol. 193 (5): 1114–21. doi:10.1128/JB.01146-10. PMC 3067580. PMID 21169481.
  5. ^ Schewe MJ, Suzuki DT, Erasmus U (July 1971). "The genetic effects of mitomycin C in Drosophila melanogaster. II. Induced meiotic recombination". Mutat. Res. 12 (3): 269–79. doi:10.1016/0027-5107(71)90015-7. PMID 5563942.
  6. ^ Bleuyard JY, Gallego ME, Savigny F, White CI (February 2005). "Differing requirements for the Arabidopsis Rad51 paralogs in meiosis and DNA repair". Plant J. 41 (4): 533–45. doi:10.1111/j.1365-313X.2004.02318.x. PMID 15686518.
  7. ^ Feng, Jie; Shi, Wanliang; Zhang, Shuo; Zhang, Ying (3 June 2015). "Identification of new compounds with high activity against stationary phase Borrelia burgdorferi from the NCI compound collection". Emerging Microbes & Infections. 4 (5): e31. doi:10.1038/emi.2015.31. PMC 5176177. PMID 26954881.
  8. ^ Sharma, Bijaya; Brown, Autumn V.; Matluck, Nicole E.; Hu, Linden T.; Lewis, Kim (26 May 2015). "Borrelia burgdorferi, the Causative Agent of Lyme Disease, Forms Drug-Tolerant Persister Cells". Antimicrobial Agents and Chemotherapy. 59 (8): AAC.00864–15. doi:10.1128/AAC.00864-15. PMC 4505243. PMID 26014929.
  9. ^ "Mitomycin". Drugs.com. 2017. Retrieved 11 November 2017.
  10. ^ Rustagi, T; Aslanian, H. R; Laine, L (2015). "Treatment of Refractory Gastrointestinal Strictures with Mitomycin C: A Systematic Review". Journal of Clinical Gastroenterology. 49 (10): 837–47. doi:10.1097/MCG.0000000000000295. PMID 25626632. S2CID 5867992.
  11. ^ Cabourne, E; Clarke, J. C; Schlottmann, P. G; Evans, J. R (2015). "Mitomycin C versus 5-fluorouracil for wound healing in glaucoma surgery" (PDF). The Cochrane Database of Systematic Reviews (11): CD006259. doi:10.1002/14651858.CD006259.pub2. PMID 26545176.
  12. ^ Majmudar, Parag A; Forstot, S.Lance; Dennis, Richard F; Nirankari, Verinder S; Damiano, Richard E; Brenart, Robert; Epstein, Randy J (January 2000). "Topical Mitomycin-C for subepithelial fibrosis after refractive corneal surgery". Ophthalmology. 107 (1): 89–94. doi:10.1016/s0161-6420(99)00019-6. ISSN 0161-6420. PMID 10647725.
  13. ^ Cheng, S. M; Feng, Y. F; Xu, L; Li, Y; Huang, J. H (2013). "Efficacy of Mitomycin C in Endoscopic Dacryocystorhinostomy: A Systematic Review and Meta-Analysis". PLOS ONE. 8 (5): e62737. Bibcode:2013PLoSO...862737C. doi:10.1371/journal.pone.0062737. PMC 3652813. PMID 23675423.
This article is copied from an article on Wikipedia® - the free encyclopedia created and edited by its online user community. The text was not checked or edited by anyone on our staff. Although the vast majority of Wikipedia® encyclopedia articles provide accurate and timely information, please do not assume the accuracy of any particular article. This article is distributed under the terms of GNU Free Documentation License.

Copyright © 2003-2025 Farlex, Inc Disclaimer
All content on this website, including dictionary, thesaurus, literature, geography, and other reference data is for informational purposes only. This information should not be considered complete, up to date, and is not intended to be used in place of a visit, consultation, or advice of a legal, medical, or any other professional.