![]() | |
![]() | |
Clinical data | |
---|---|
Pronunciation | /sɛˈtɪrɪziːn/ |
Trade names | Zyrtec, Incidal, others |
AHFS/Drugs.com | Monograph |
MedlinePlus | a698026 |
License data |
|
Pregnancy category |
|
Routes of administration | By mouth |
ATC code | |
Legal status | |
Legal status |
|
Pharmacokinetic data | |
Bioavailability | Well-absorbed (>70%)[1] |
Protein binding | 88–96%[1] |
Metabolism | Minimal (non-cytochrome P450-mediated)[3][2] |
Onset of action | 20–42 minutes[2] |
Elimination half-life | Mean: 8.3 hours[3][2] Range: 6.5–10 hours[4] |
Duration of action | ≥24 hours[4] |
Excretion | Urine: 70–85%[3] Feces: 10–13%[3] |
Identifiers | |
IUPAC name
| |
CAS Number | |
PubChem CID | |
IUPHAR/BPS | |
DrugBank | |
ChemSpider | |
UNII | |
KEGG | |
ChEBI | |
ChEMBL | |
CompTox Dashboard (EPA) | |
ECHA InfoCard | 100.223.545 ![]() |
Chemical and physical data | |
Formula | C21H25ClN2O3 |
Molar mass | 388.89 g·mol−1 |
3D model (JSmol) | |
SMILES
| |
| |
(verify) |
Cetirizine, sold under the brand name Zyrtec among others, is a second-generation antihistamine used to treat allergic rhinitis (hay fever), dermatitis, and urticaria.[5] It is taken by mouth.[6] Effects generally begin within an hour and last for about a day.[6] The degree of benefit is similar to other antihistamines such as diphenhydramine.[6]
Common side effects include sleepiness, dry mouth, headache, and abdominal pain.[6] The degree of sleepiness that occurs is generally less than with first generation antihistamines.[5] Serious side effects may include aggression and angioedema.[5] Use in pregnancy appears safe, but use during breastfeeding is not recommended.[7] The medication works by blocking histamine H1 receptors, mostly outside the brain.[6]
It was patented in 1981[8] and came into medical use in 1987.[9] It is available as a generic medication.[5] In 2017, it was the 66th most commonly prescribed medication in the United States, with more than eleven million prescriptions.[10][11]
Medical uses
Allergies
Cetirizine's primary indication is for hay fever and other allergies. Because the symptoms of itching and redness in these conditions are caused by histamine acting on the H1 receptor, blocking those receptors temporarily relieves those symptoms.[12]
Cetirizine is also commonly prescribed to treat acute and (in particular cases) chronic urticaria, more efficiently than any other second-generation antihistamine.[12]
Available forms
Cetirizine is available over-the-counter in the US in the form of 5 and 10 mg tablets. A 20 mg strength is available by prescription only.[3] In the UK, up to 30 tablets of 10 mg are on the general sales list (of pharmaceuticals) and can be purchased without a prescription and without pharmacist supervision.[13] The drug can be in the form of tablets, capsules or a syrup.[13]
Adverse effects
Commonly reported side effects of cetirizine include headache, dry mouth, drowsiness, and fatigue, while more serious but rare side effects include cardiac failure, tachycardia, and edema.[14]
Discontinuing cetirizine after prolonged use (typically, use beyond six months) may result in generalized itching.[15][16][17]
Pharmacology

Pharmacodynamics
Cetirizine acts as a highly selective antagonist of the histamine H1 receptor.[3] The Ki values for the H1 receptor are approximately 6 nM for cetirizine, 3 nM for levocetirizine, and 100 nM for dextrocetirizine, indicating that the levorotatory enantiomer is the main active form.[3] Cetirizine has 600-fold or greater selectivity for the H1 receptor over a wide variety of other sites, including muscarinic acetylcholine, serotonin, dopamine, and α-adrenergic receptors, among many others.[3] The drug shows 20,000-fold or greater selectivity for the H1 receptor over the five muscarinic acetylcholine receptors, and hence does not exhibit anticholinergic effects.[18][19] It shows negligible inhibition of the hERG channel (IC50 > 30 μM)[20] and no cardiotoxicity has been observed with cetirizine at doses of up to 60 mg/day, six times the normal recommended dose[3] and the highest dose of cetirizine that has been studied in healthy subjects.[21]
Cetirizine crosses the blood–brain barrier only slightly, and for this reason, it produces minimal sedation compared to many other antihistamines.[22] A positron emission tomography (PET) study found that brain occupancy of the H1 receptor was 12.6% for 10 mg cetirizine, 25.2% for 20 mg cetirizine, and 67.6% for 30 mg hydroxyzine.[23] (A 10 mg dose of cetirizine equals about a 30 mg dose of hydroxyzine in terms of peripheral antihistamine effect.)[24] PET studies with antihistamines have found that brain H1 receptor occupancy of more than 50% is associated with a high prevalence of somnolence and cognitive decline, whereas brain H1 receptor occupancy of less than 20% is considered to be non-sedative.[25] In accordance, H1 receptor occupancy correlated well with subjective sleepiness for 30 mg hydroxyzine but there was no correlation for 10 or 20 mg cetirizine.[23] As such, brain penetration and brain H1 receptor occupancy by cetirizine are dose-dependent, and in accordance, while cetirizine at doses of 5 to 10 mg have been reported to be non-sedating or mildly sedating, a higher dose of 20 mg has been found to induce significant drowsiness in other studies.[23]
Cetirizine has been shown to inhibit eosinophil chemotaxis and LTB4 release.[26] At a dosage of 20 mg, Boone et al. found that it inhibited the expression of VCAM-1 in patients with atopic dermatitis.[26]
Pharmacokinetics
Absorption
Cetirizine is rapidly and extensively absorbed upon oral administration in tablet or syrup form.[3] The oral bioavailability of cetirizine is at least 70% and of levocetirizine is at least 85%.[1] The Tmax of cetirizine is approximately 1.0 hour regardless of formulation.[2] The pharmacokinetics of cetirizine have been found to increase linearly with dose across a range of 5 to 60 mg.[3] Its Cmax following a single dose has been found to be 257 ng/mL for 10 mg and 580 ng/mL for 20 mg.[2] Food has no effect on the bioavailability of cetirizine but has been found to delay the Tmax by 1.7 hours (i.e., to approximately 2.7 hours) and to decrease the Cmax by 23%.[3][2][27] Similar findings were reported for levocetirizine, which had its Tmax delayed by 1.25 hours and its Cmax decreased by about 36% when administered with a high-fat meal.[27] Steady-state levels of cetirizine occur within 3 days and there is no accumulation of the drug with chronic administration.[2] Following once-daily administration of 10 mg cetirizine for 10 days, the mean Cmax was 311 ng/mL.[28]
Distribution
The mean plasma protein binding of cetirizine has been found to be 93 to 96% across a range of 25 to 1,000 ng/mL independent of concentration.[2] Plasma protein binding of 88 to 96% has also been reported across multiple studies.[1] The drug is bound to albumin with high affinity, while α1-acid glycoprotein and lipoproteins contribute much less to total plasma protein binding.[1] The unbound or free fraction of levocetirizine has been reported to be 8%.[1] The true volume of distribution of cetirizine is unknown but is estimated to be 0.3 to 0.45 L/kg.[3][1] Cetirizine poorly and slowly crosses the blood–brain barrier, which is due mainly to its chemical properties but also to a minor extent to its activity as a P-glycoprotein substrate.[1]
Metabolism
Cetirizine does not undergo extensive metabolism.[3] It is notably not metabolized by the cytochrome P450 system.[29] Because of this, it does not interact significantly with drugs that inhibit or induce cytochrome P450 enzymes such as theophylline, erythromycin, clarithromycin, cimetidine, or alcohol.[3] While cetirizine does not undergo extensive metabolism or metabolism by the cytochrome P450 enzyme, it does undergo some metabolism by other means, the metabolic pathways of which include oxidation and conjugation.[3][2] Plasma radioactivity attributed to unchanged cetirizine is more than 90% at 2 hours, 80% at 10 hours, and 70% at 24 hours, indicating limited and slow metabolism.[2] The enzymes responsible for transformation of cetirizine have not been identified.[3]
Elimination
Cetirizine is eliminated approximately 70 to 85% in the urine and 10 to 13% in the feces.[3] About 50 or 60% of cetirizine eliminated in the urine is unchanged.[3][2] It is eliminated in the urine via an active transport mechanism.[2] The elimination half-life of cetirizine ranges from 6.5 to 10 hours in healthy adults, with a mean across studies of approximately 8.3 hours.[3][2] Its duration of action is at least 24 hours.[2] The elimination half-life of cetirizine is increased in the elderly (to 12 hours), in hepatic impairment (to 14 hours), and in renal impairment (to 20 hours).[2]
Chemistry
Cetirizine contains L- and D-stereoisomers. Chemically, levocetirizine is the active L-enantiomer of cetirizine. The drug is a member of the diphenylmethylpiperazine group of antihistamines. Analogues include cyclizine and hydroxyzine.
Synthesis
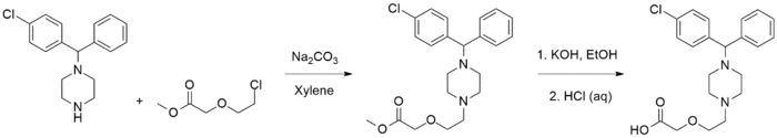
- Cetirizine synthesis:[8]
The 1-(4-chlorophenylmethyl)-piperazine is alkylated with methyl (2-chloroethoxy)-acetate in the presence of sodium carbonate and xylene solvent to produce the Sn2 substitution product in 28% yield. Saponification of the acetate ester is done by refluxing with potassium hydroxide in absolute ethanol to afford a 56% yield of the potassium salt intermediate. This is then hydrolyzed with aqueous HCl and extracted to give an 81% yield of the carboxylic acid product.
Availability
Formerly prescription-only in many countries, cetirizine is now available without prescription in most countries. In some countries it is available over-the-counter only in packages containing seven or ten 10 mg doses.
Like many other antihistamine medications, cetirizine is commonly prescribed in combination with pseudoephedrine, a decongestant. These combinations are often marketed using the same brand name as the cetirizine with a "-D" suffix (Zyrtec-D, Virlix-D, etc.)
Cetirizine is marketed under the brand names Alatrol, Alerid, Alzene, Cetirin, Cetzine, Cezin, Cetgel, Cirrus, Histec, Histazine, Humex, Letizen, Okacet (Cipla), Reactine, Razene, Rigix, Sensahist (Oethmann, South Africa), Triz, Zetop, Zirtec, Zirtek, Zodac, Zyllergy, Zynor, Zyrlek, and Zyrtec (Johnson & Johnson), among others.
References
- ^ a b c d e f g h Chen C (2008). "Physicochemical, pharmacological and pharmacokinetic properties of the zwitterionic antihistamines cetirizine and levocetirizine". Curr. Med. Chem. 15 (21): 2173–91. doi:10.2174/092986708785747625. PMID 18781943.
- ^ a b c d e f g h i j k l m n o Simons FE, Simons KJ (1999). "Clinical pharmacology of new histamine H1 receptor antagonists". Clin Pharmacokinet. 36 (5): 329–52. doi:10.2165/00003088-199936050-00003. PMID 10384858. S2CID 21360079.
- ^ a b c d e f g h i j k l m n o p q r s t Portnoy JM, Dinakar C (2004). "Review of cetirizine hydrochloride for the treatment of allergic disorders". Expert Opin Pharmacother. 5 (1): 125–35. doi:10.1517/14656566.5.1.125. PMID 14680442. S2CID 28946859.
- ^ a b Simons FE (2002). "Comparative pharmacology of H1 antihistamines: clinical relevance". Am. J. Med. 113 Suppl 9A (9): 38S–46S. doi:10.1016/s0002-9343(02)01436-5. PMID 12517581.
- ^ a b c d British national formulary : BNF 76 (76 ed.). Pharmaceutical Press. 2018. p. 279. ISBN 9780857113382.
- ^ a b c d e "Cetirizine Hydrochloride Monograph for Professionals". Drugs.com. American Society of Health-System Pharmacists. Retrieved 3 March 2019.
- ^ "Cetirizine Pregnancy and Breastfeeding Warnings". Drugs.com. Retrieved 3 March 2019.
- ^ a b US patent 4525358, Baltes E, De Lannoy J, Rodriguez L, "2-[4-(Diphenylmethyl)-1-piperazinyl]-acetic acids and their amides", issued 25 June 1985, assigned to UCB Pharmaceuticals, Inc.
- ^ Fischer, Jnos; Ganellin, C. Robin (2006). Analogue-based Drug Discovery. John Wiley & Sons. p. 549. ISBN 9783527607495.
- ^ "The Top 300 of 2020". ClinCalc. Retrieved 11 April 2020.
- ^ "Cetirizine - Drug Usage Statistics". ClinCalc. Retrieved 11 April 2020.
- ^ a b Rang, H. P. Rang and Dale's pharmacology. Dale, M. Maureen,, Flower, R. J. (Rod J.), 1945-, Henderson, G. (Graeme) (Eighth ed.). [United Kingdom]. p. 332. ISBN 978-0-7020-5362-7. OCLC 903083639.
- ^ a b "CETIRIZINE HYDROCHLORIDE". Retrieved 17 October 2020.
- ^ "Zyrtec Side Effects". drugs.com. Drugs.com. Retrieved 21 August 2015.
- ^ Ekhart, C.; Van Der Horst, P.; Van Hunsel, F. (2016). "Unbearable Pruritus After Withdrawal of (Levo)cetirizine". Drug Safety - Case Reports. 3 (1): 16. doi:10.1007/s40800-016-0041-9. PMC 5124431. PMID 27889900.
- ^ "Cetirizine (Zyrtec) Withdrawal & Unbearable Itching". People's Pharmacy. Retrieved 9 September 2017.
- ^ "addicted to zyrtec?". MedHelp. Retrieved 9 September 2017.
- ^ Zhang L, Cheng L, Hong J (2013). "The clinical use of cetirizine in the treatment of allergic rhinitis". Pharmacology. 92 (1–2): 14–25. doi:10.1159/000351843. PMID 23867423.
- ^ Orzechowski RF, Currie DS, Valancius CA (2005). "Comparative anticholinergic activities of 10 histamine H1 receptor antagonists in two functional models". Eur. J. Pharmacol. 506 (3): 257–64. doi:10.1016/j.ejphar.2004.11.006. PMID 15627436.
- ^ Taglialatela M, Pannaccione A, Castaldo P, Giorgio G, Zhou Z, January CT, Genovese A, Marone G, Annunziato L (1998). "Molecular basis for the lack of HERG K+ channel block-related cardiotoxicity by the H1 receptor blocker cetirizine compared with other second-generation antihistamines". Mol. Pharmacol. 54 (1): 113–21. doi:10.1124/mol.54.1.113. PMID 9658196.
- ^ Hulhoven R, Rosillon D, Letiexhe M, Meeus MA, Daoust A, Stockis A (2007). "Levocetirizine does not prolong the QT/QTc interval in healthy subjects: results from a thorough QT study". Eur. J. Clin. Pharmacol. 63 (11): 1011–7. doi:10.1007/s00228-007-0366-5. PMID 17891537. S2CID 36218027.
The equivalent dose of 60 mg cetirizine is also the highest dose ever administered in healthy subjects [13].
- ^ Gupta, A; Chatelain P; Massingham R; Jonsson EN; Hammarlund-Udenaes M (February 2006). "Brain distribution of cetirizine enantiomers: comparison of three different tissue-to-plasma partition coefficients: K(p), K(p,u), and K(p,uu)". Drug Metab. Dispos. 34 (2): 318–23. doi:10.1124/dmd.105.007211. PMID 16303872. S2CID 9111905.
- ^ a b c Tashiro M, Kato M, Miyake M, Watanuki S, Funaki Y, Ishikawa Y, Iwata R, Yanai K (2009). "Dose dependency of brain histamine H(1) receptor occupancy following oral administration of cetirizine hydrochloride measured using PET with [11C]doxepin". Hum Psychopharmacol. 24 (7): 540–8. doi:10.1002/hup.1051. PMID 19697300. S2CID 5596000.
- ^ van den Elzen MT, van Os-Medendorp H, van den Brink I, van den Hurk K, Kouznetsova OI, Lokin AS, Laheij-de Boer AM, Röckmann H, Bruijnzeel-Koomen CA, Knulst AC (2017). "Effectiveness and safety of antihistamines up to fourfold or higher in treatment of chronic spontaneous urticaria". Clin Transl Allergy. 7: 4. doi:10.1186/s13601-017-0141-3. PMC 5309999. PMID 28289538.
[...] 30 mg of hydroxyzine equals about 10 mg cetirizine [11] [...]
- ^ Yanai K, Tashiro M (2007). "The physiological and pathophysiological roles of neuronal histamine: an insight from human positron emission tomography studies". Pharmacol. Ther. 113 (1): 1–15. doi:10.1016/j.pharmthera.2006.06.008. PMID 16890992.
- ^ a b Boone M, Lespagnard L, Renard N, Song M, Rihoux JP (July 2000). "Adhesion molecule profiles in atopic dermatitis vs. allergic contact dermatitis: pharmacological modulation by cetirizine". J Eur Acad Dermatol Venereol. 14 (4): 263–6. doi:10.1046/j.1468-3083.2000.00017.x. PMID 11204513. S2CID 24026684. Archived from the original on 5 January 2013. Retrieved 19 November 2009.
- ^ a b Paśko P, Rodacki T, Domagała-Rodacka R, Palimonka K, Marcinkowska M, Owczarek D (2017). "Second generation H1 – antihistamines interaction with food and alcohol-A systematic review". Biomed. Pharmacother. 93: 27–39. doi:10.1016/j.biopha.2017.06.008. PMID 28622592.
- ^ "Zyrtec prescribing information" (PDF). May 2006. Archived from the original (PDF) on 4 January 2010. Retrieved 19 November 2009.
- ^ Massoud Mahmoudi (2 June 2016). Allergy and Asthma: Practical Diagnosis and Management. Springer. pp. 574–. ISBN 978-3-319-30835-7.
External links
- "Cetirizine". Drug Information Portal. U.S. National Library of Medicine.