Wikipedia

Caprolactam

Also found in: Dictionary, Encyclopedia.
Caprolactam
Caprolactam-2D-skeletal.png
Caprolactam-from-xtal-3D-sf.png
Names
IUPAC names
Azepan-2-one (Preferred IUPAC Name) Hexano-6-lactam (allowed alternative)
Other names
ε-Caprolactam
1-Aza-2-cycloheptanone
2-Azacycloheptanone
Capron PK4
Cyclohexanone iso-oxime
Extrom 6N
Hexahydro-2-azepinone
Hexahydro-2H-azepin-2-one (9CI)
Hexanolactam
Aminocaproic lactam
Identifiers
3D model (JSmol)
106934
ChEBI
ChEMBL
ChemSpider
ECHA InfoCard 100.003.013 Edit this at Wikidata
EC Number
  • 203-313-2
Gmelin Reference
101802
KEGG
UNII
CompTox Dashboard (EPA)
Properties
C6H11NO
Molar mass 113.160 g·mol−1
Appearance White solid
Density 1.01 g/cm3
Melting point 69.2 °C (156.6 °F; 342.3 K)
Boiling point 270.8 °C (519.4 °F; 544.0 K) at 1013.25 hPa
866.89 g/L (22 °C)
Vapor pressure 0.00000008 mmHg (20° C)[1]
Hazards
GHS pictograms GHS07: Harmful
GHS Signal word Warning
GHS hazard statements
H302, H315, H319, H332, H335
GHS precautionary statements
P261, P264, P270, P271, P280, P301+312, P302+352, P304+312, P304+340, P305+351+338, P312, P321, P330, P332+313, P337+313, P362, P403+233, P405, P501
Flash point 125 °C (257 °F; 398 K)
Explosive limits 1.4%-8.0%[1]
NIOSH (US health exposure limits):
PEL (Permissible)
none[1]
Except where otherwise noted, data are given for materials in their standard state (at 25 °C [77 °F], 100 kPa).

Caprolactam (CPL) is an organic compound with the formula (CH2)5C(O)NH. This colourless solid is a lactam (a cyclic amide) of caproic acid. Global demand for this compound is approximately five million tons per year, and the vast majority is used to make Nylon 6 filament, fiber, and plastics.[2]

Synthesis and production

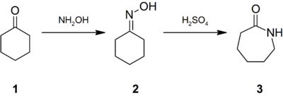
Caprolactam was first described in the late 1800s when it was prepared by the cyclization of ε-aminocaproic acid, the product of the hydrolysis of caprolactam. World demand for caprolactam was estimated to reach five million tons per year for 2015. 90% of caprolactam produced is used to make filament and fiber, 10% for plastics, and a small amount is used as a chemical intermediate.[2] Due to its commercial significance, many methods have been developed for the production of caprolactam. It was estimated that 90% of all caprolactam is synthesised from cyclohexanone (1), which is first converted to its oxime (2). Treatment of this oxime with acid induces the Beckmann rearrangement to give caprolactam (3):[2]

The Beckmann Rearrangement

The immediate product of the acid-induced rearrangement is the bisulfate salt of caprolactam. This salt is neutralized with ammonia to release the free lactam and cogenerate ammonium sulfate. In optimizing the industrial practices, much attention is directed toward minimizing the production of ammonium salts.[2]

The other major industrial route involves formation of the oxime from cyclohexane using nitrosyl chloride, and this method accounts for 10% of world production.[2] The advantage of this method is that cyclohexane is less expensive than cyclohexanone.

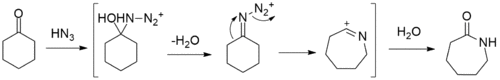
Other paths to caprolactam include the depolymerization of waste Nylon 6, and the reaction of caprolactone with ammonia.[2] At bench scale, the reaction between cyclohexanone with hydrazoic acid to give caprolactam in the Schmidt reaction has been reported.[3]

Schmidt ring expansion.png

Uses

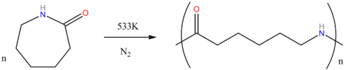
Almost all caprolactam produced goes into the manufacture of Nylon 6. The conversion entails a ring-opening polymerization:

Caprolactam polymerization.png

Nylon 6 is widely used in fibers and plastics.

In situ anionic polymerization is employed for cast nylon production where conversion from ε-caprolactam to Nylon 6 takes place inside a mold. In conjunction with endless fiber processing the term thermoplastic resin transfer molding (T-RTM) is often used.

Caprolactam is also used in the synthesis of several pharmaceutical drugs including pentylenetetrazol, meptazinol, and laurocapram.

Safety

Caprolactam is an irritant and is mildly toxic, with an LD50 of 1.1 g/kg (rat, oral). In 1991, it was included on the list of hazardous air pollutants by the U.S. Clean Air Act of 1990. It was subsequently removed from the list in 1996 at the request of the manufacturers.[4] In water, caprolactam hydrolyzes to aminocaproic acid, which is used medicinally.

Currently, there is no official permissible exposure limit set for workers handling caprolactam in the United States. The recommended exposure limit is set at 1 mg/m3 over an eight-hour work shift for caprolactam dusts and vapors. The short-term exposure limit is set at 3 mg/m3 for caprolactam dusts and vapors.[5]

References

  1. ^ a b c NIOSH Pocket Guide to Chemical Hazards. "#0097". National Institute for Occupational Safety and Health (NIOSH).
  2. ^ a b c d e f Josef Ritz; Hugo Fuchs; Heinz Kieczka; William C. Moran. "Caprolactam". Ullmann's Encyclopedia of Industrial Chemistry. Weinheim: Wiley-VCH. doi:10.1002/14356007.a05_031.pub2.
  3. ^ Eric J. Kantorowski; Mark J. Kurth (2000). "Expansion to Seven-Membered Rings". Tetrahedron. 56 (26): 4317–4353. doi:10.1016/S0040-4020(00)00218-0.
  4. ^ EPA - Modifications To The 112(b)1 Hazardous Air Pollutants
  5. ^ NIOSH Pocket Guide to Chemical Hazards, CDC, retrieved November 8, 2013
This article is copied from an article on Wikipedia® - the free encyclopedia created and edited by its online user community. The text was not checked or edited by anyone on our staff. Although the vast majority of Wikipedia® encyclopedia articles provide accurate and timely information, please do not assume the accuracy of any particular article. This article is distributed under the terms of GNU Free Documentation License.

Copyright © 2003-2025 Farlex, Inc Disclaimer
All content on this website, including dictionary, thesaurus, literature, geography, and other reference data is for informational purposes only. This information should not be considered complete, up to date, and is not intended to be used in place of a visit, consultation, or advice of a legal, medical, or any other professional.