Wikipedia

Zinc chloride

Also found in: Dictionary, Medical, Acronyms, Encyclopedia.
Zinc chloride
Zinc chloride hydrate
Kristallstruktur Zinkchlorid.png
Names
IUPAC name
Zinc chloride
Other names
Zinc(II) chloride
Zinc dichloride
Butter of zinc
Identifiers
3D model (JSmol)
ChEBI
ChEMBL
ChemSpider
ECHA InfoCard 100.028.720 Edit this at Wikidata
EC Number
  • 231-592-0
RTECS number
  • ZH1400000
UNII
UN number 2331
CompTox Dashboard (EPA)
Properties
Chemical formula
ZnCl2
Molar mass 136.315 g/mol
Appearance white crystalline solid
hygroscopic and very deliquescent
Odor odorless
Density 2.907 g/cm3
Melting point 290 °C (554 °F; 563 K)[1]
Boiling point 732 °C (1,350 °F; 1,005 K)[1]
432.0 g/ 100 g (25 °C)
Solubility soluble in ethanol, glycerol and acetone
Solubility in alcohol 430.0 g/100ml
−65.0·10−6 cm3/mol
Structure
Tetrahedral, linear in the gas phase
Pharmacology
B05XA12 (WHO)
Hazards
Safety data sheet External MSDS
EU classification (DSD) (outdated)
Harmful (Xn)
Corrosive (C)
Dangerous for the environment (N)
R-phrases (outdated) R22, R34, R50/53
S-phrases (outdated) (S1/2), S26, S36/37/39, S45, S60, S61
NFPA 704 (fire diamond)
NFPA 704 four-colored diamond
0
3
0
Lethal dose or concentration (LD, LC):
350 mg/kg (rat, oral)
350 mg/kg (mouse, oral)
200 mg/kg (guinea pig, oral)
1100 mg/kg (rat, oral)
1250 mg/kg (mouse, oral)[3]
1260 mg/m3 (rat, 30 min)
1180 mg-min/m3[3]
NIOSH (US health exposure limits):
PEL (Permissible)
TWA 1 mg/m3 (fume)[2]
REL (Recommended)
TWA 1 mg/m3 ST 2 mg/m3 (fume)[2]
IDLH (Immediate danger)
50 mg/m3 (fume)[2]
Related compounds
Other anions
Zinc fluoride
Zinc bromide
Zinc iodide
Other cations
Cadmium chloride
Mercury(II) chloride
Except where otherwise noted, data are given for materials in their standard state (at 25 °C [77 °F], 100 kPa).

Zinc chloride is the name of chemical compounds with the formula ZnCl2 and its hydrates. Zinc chlorides, of which nine crystalline forms are known, are colorless or white, and are highly soluble in water.[4] This white salt is hygroscopic and even deliquescent. Samples should therefore be protected from sources of moisture, including the water vapor present in ambient air. Zinc chloride finds wide application in textile processing, metallurgical fluxes, and chemical synthesis. No mineral with this chemical composition is known aside from the very rare mineral simonkolleite, Zn5(OH)8Cl2·H2O.

Structure and properties

Four crystalline forms (polymorphs) of ZnCl2 are known: α, β, γ, and δ. Each case features tetrahedral Zn2+ centers.[5]

Form Symmetry Pearson symbol Group No a (nm) b (nm) c (nm) Z ρ (g/cm3)
α tetragonal tI12 I42d 122 0.5398 0.5398 0.64223 4 3.00
β tetragonal tP6 P42/nmc 137 0.3696 0.3696 1.071 2 3.09
γ monoclinic mP36 P21/c 14 0.654 1.131 1.23328 12 2.98
δ orthorhombic oP12 Pna21 33 0.6125 0.6443 0.7693 4 2.98

Here a, b, and c are lattice constants, Z is the number of structure units per unit cell, and ρ is the density calculated from the structure parameters.[6][7][8]

The orthorhombic form (δ) rapidly changes to one of the other forms on exposure to the atmosphere. A possible explanation is that the OH ions originating from the absorbed water facilitate the rearrangement.[5] Rapid cooling of molten ZnCl2 gives a glass.[9]

Molten ZnCl2 has a high viscosity at its melting point and a comparatively low electrical conductivity, which increases markedly with temperature.[10][11] A Raman scattering study of the melt indicated the presence of polymeric structures,[12] and a neutron scattering study indicated the presence of tetrahedral {ZnCl4} complexes.[13]

In the gas phase, ZnCl2 molecules are linear with a bond length of 205 pm.

Hydrates

Five hydrates of zinc chloride are known: ZnCl2(H2O)n with n = 1, 1.5, 2.5, 3 and 4.[14] The tetrahydrate ZnCl2(H2O)4 crystallizes from aqueous solutions of zinc chloride.[14]

Preparation and purification

Anhydrous ZnCl2 can be prepared from zinc and hydrogen chloride:

Zn + 2 HCl → ZnCl2 + H2

Hydrated forms and aqueous solutions may be readily prepared similarly by treating Zn metal, zinc carbonate, zinc oxide, and zinc sulfide with hydrochloric acid:

ZnS + 2 HCl + 4 H2O → ZnCl2(H2O)4 + H2S

Unlike many other elements, zinc essentially exists in only one oxidation state, 2+, which simplifies purification of the chloride.

Commercial samples of zinc chloride typically contain water and products from hydrolysis as impurities. Such samples may be purified by recrystallization from hot dioxane. Anhydrous samples can be purified by sublimation in a stream of hydrogen chloride gas, followed by heating the sublimate to 400 °C in a stream of dry nitrogen gas.[15] Finally, the simplest method relies on treating the zinc chloride with thionyl chloride.[16]

Reactions

Molten anhydrous ZnCl2 at 500–700 °C dissolves zinc metal, and, on rapid cooling of the melt, a yellow diamagnetic glass is formed, which Raman studies indicate contains the Zn2+
2
ion.[14]

A number of salts containing the tetrachlorozincate anion, ZnCl2−
4
, are known.[10] "Caulton's reagent", V2Cl3(thf)6Zn2Cl6 is an example of a salt containing Zn2Cl2−
6
.[17][18] The compound Cs3ZnCl5 contains tetrahedral ZnCl2−
4
and Cl anions.[5] No compounds containing the ZnCl4−
6
ion have been characterized.[5]

Whilst zinc chloride is very soluble in water, solutions cannot be considered to contain simply solvated Zn2+ ions and Cl ions, ZnClxH2O(4−x) species are also present.[19][20][21] Aqueous solutions of ZnCl2 are acidic: a 6 M aqueous solution has a pH of 1.[14] The acidity of aqueous ZnCl2 solutions relative to solutions of other Zn2+ salts is due to the formation of the tetrahedral chloro aqua complexes where the reduction in coordination number from 6 to 4 further reduces the strength of the O–H bonds in the solvated water molecules.[22]

In alkali solution in the presence of OH ion various zinc hydroxychloride anions are present in solution, e.g. Zn(OH)3Cl2−, Zn(OH)2Cl2−
2
, ZnOHCl2−
3
, and Zn5(OH)8Cl2·H2O (simonkolleite) precipitates.[23]

When ammonia is bubbled through a solution of zinc chloride, the hydroxide does not precipitate, instead compounds containing complexed ammonia (ammines) are produced, Zn(NH3)4Cl2·H2O and on concentration ZnCl2(NH3)2.[24] The former contains the Zn(NH3)62+ ion,[5] and the latter is molecular with a distorted tetrahedral geometry.[25] The species in aqueous solution have been investigated and show that Zn(NH3)42+ is the main species present with Zn(NH3)3Cl+ also present at lower NH3:Zn ratio.[26]

Aqueous zinc chloride reacts with zinc oxide to form an amorphous cement that was first investigated in the 1855 by Stanislas Sorel. Sorel later went on to investigate the related magnesium oxychloride cement, which bears his name.[27]

When hydrated zinc chloride is heated, one obtains a residue of Zn(OH)Cl e.g.[28]

ZnCl2·2H2O → ZnCl(OH) + HCl + H2O

The compound ZnCl2·​1&fras1;2HCl·H2O may be prepared by careful precipitation from a solution of ZnCl2 acidified with HCl. It contains a polymeric anion (Zn2Cl5)n with balancing monohydrated hydronium ions, H5O2+ ions.[5][29]

The formation of highly reactive anhydrous HCl gas formed when zinc chloride hydrates are heated is the basis of qualitative inorganic spot tests.[30]

The use of zinc chloride as a flux, sometimes in a mixture with ammonium chloride (see also Zinc ammonium chloride), involves the production of HCl and its subsequent reaction with surface oxides. Zinc chloride forms two salts with ammonium chloride: (NH4)2ZnCl4 and (NH4)3ClZnCl4, which decompose on heating liberating HCl, just as zinc chloride hydrate does. The action of zinc chloride/ammonium chloride fluxes, for example, in the hot-dip galvanizing process produces H2 gas and ammonia fumes.[31]

Cellulose dissolves in aqueous solutions of ZnCl2, and zinc-cellulose complexes have been detected.[32] Cellulose also dissolves in molten ZnCl2 hydrate and carboxylation and acetylation performed on the cellulose polymer.[33]

Thus, although many zinc salts have different formulas and different crystal structures, these salts behave very similarly in aqueous solution. For example, solutions prepared from any of the polymorphs of ZnCl2, as well as other halides (bromide, iodide), and the sulfate can often be used interchangeably for the preparation of other zinc compounds. Illustrative is the preparation of zinc carbonate:

ZnCl2(aq) + Na2CO3(aq) → ZnCO3(s) + 2 NaCl(aq)

Applications

As a metallurgical flux

Zinc chloride reacts with metal oxides (MO) to give derivatives of the idealized formula MZnOCl2.[34] This reaction is relevant to the utility of ZnCl2 solution as a flux for soldering — it dissolves passivating oxides, exposing the clean metal surface.[34] Fluxes with ZnCl2 as an active ingredient are sometimes called "tinner's fluid".

In organic synthesis

Zinc chloride is a useful Lewis acid in organic chemistry.[35] Molten zinc chloride catalyses the conversion of methanol to hexamethylbenzene:[36]

15 CH
3
OH
C
6
(CH
3
)
6
+ 3 CH
4
+ 15 H
2
O

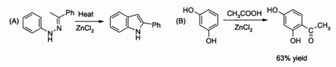
Other examples include catalyzing (A) the Fischer indole synthesis,[37] and also (B) Friedel-Crafts acylation reactions involving activated aromatic rings[38][39]

ZnCl2 aromatics.gif

Related to the latter is the classical preparation of the dye fluorescein from phthalic anhydride and resorcinol, which involves a Friedel-Crafts acylation.[40] This transformation has in fact been accomplished using even the hydrated ZnCl2 sample shown in the picture above.

ZnCl2 fluorescein.png

The combination of hydrochloric acid and ZnCl2, known as the "Lucas reagent", is effective for the preparation of alkyl chlorides from alcohols.

ZnCl2 Lucas.gif

Zinc chloride also activates benzylic and allylic halides towards substitution by weak nucleophiles such as alkenes:[41]

ZnCl2 benzylation.gif

In similar fashion, ZnCl2 promotes selective NaBH3CN reduction of tertiary, allylic or benzylic halides to the corresponding hydrocarbons.

Zinc chloride is also a useful starting reagent for the synthesis of many organozinc reagents, such as those used in the palladium catalyzed Negishi coupling with aryl halides or vinyl halides.[42] In such cases the organozinc compound is usually prepared by transmetallation from an organolithium or a Grignard reagent, for example:

ZnCl2 Negishi.gif

Zinc enolates, prepared from alkali metal enolates and ZnCl2, provide control of stereochemistry in aldol condensation reactions due to chelation on to the zinc. In the example shown below, the threo product was favored over the erythro by a factor of 5:1 when ZnCl2 in DME/ether was used.[43] The chelate is more stable when the bulky phenyl group is pseudo-equatorial rather than pseudo-axial, i.e., threo rather than erythro.

ZnCl2 aldol.gif

In textile and paper processing

Concentrated aqueous solutions of zinc chloride (more than 64% weight/weight zinc chloride in water) have dissolving starch, silk, and cellulose.

Relevant to its affinity for these materials, ZnCl2 is used as a fireproofing agent and in fabric "refresheners" such as Febreze. Vulcanized fibre is made by soaking paper in concentrated zinc chloride.

Smoke grenades

The zinc chloride smoke mixture ("HC") used in smoke grenades contains zinc oxide, hexachloroethane and granular aluminium powder, which, when ignited, react to form zinc chloride, carbon and aluminium oxide smoke, an effective smoke screen.[44]

Fingerprint detection

Ninhydrin reacts with amino acids and amines to form a colored compound "Ruhemann's purple" (RP). Spraying with a zinc chloride solution forms a 1:1 complex RP:ZnCl(H2O)2, which is more readily detected as it fluoresces more intensely than RP.[45]

Disinfectant and wood preservative

Dilute aqueous zinc chloride was used as a disinfectant under the name "Burnett's Disinfecting Fluid". [46] From 1839 Sir William Burnett promoted its use as a disinfectant as well as a wood preservative.[47] The Royal Navy conducted trials into its use as a disinfectant in the late 1840s, including during the cholera epidemic of 1849; and at the same time experiments were conducted into its preservative properties as applicable to the shipbuilding and railway industries. Burnett had some commercial success with his eponymous fluid. Following his death however, its use was largely superseded by that of carbolic acid and other proprietary products.

Skin cancer treatment

Zinc chloride has been used in alternative medicine to cause eschars, scabs of dead tissue, in an attempt to cure skin cancers.[48] Various products, such as Cansema or "black salve", containing zinc chloride and sold as cancer cures have been listed by the U.S. Food and Drug Administration (FDA) as fake [49] with warning letters being sent to suppliers.[50] Scarring and skin damage are associated with escharotic substances.

Safety

Zinc chloride is a chemical irritant of the eyes, skin, and respiratory system.[4] [51]

Additional reading

  • N. N. Greenwood, A. Earnshaw, Chemistry of the Elements, 2nd ed., Butterworth-Heinemann, Oxford, UK, 1997.
  • Lide, D. R., ed. (2005). CRC Handbook of Chemistry and Physics (86th ed.). Boca Raton (FL): CRC Press. ISBN 0-8493-0486-5.
  • The Merck Index, 7th edition, Merck & Co, Rahway, New Jersey, USA, 1960.
  • D. Nicholls, Complexes and First-Row Transition Elements, Macmillan Press, London, 1973.
  • J. March, Advanced Organic Chemistry, 4th ed., p. 723, Wiley, New York, 1992.
  • G. J. McGarvey, in Handbook of Reagents for Organic Synthesis, Volume 1: Reagents, Auxiliaries and Catalysts for C-C Bond Formation, (R. M. Coates, S. E. Denmark, eds.), pp. 220–3, Wiley, New York, 1999.

References

  1. ^ a b O'Neil, M. J.; et al. (2001). The Merck index : an encyclopedia of chemicals, drugs, and biologicals. N. J.: Whitehouse Station. ISBN 978-0911910131.
  2. ^ a b c NIOSH Pocket Guide to Chemical Hazards. "#0674". National Institute for Occupational Safety and Health (NIOSH).
  3. ^ a b "Zinc chloride fume". Immediately Dangerous to Life and Health Concentrations (IDLH). National Institute for Occupational Safety and Health (NIOSH).
  4. ^ a b Dieter M. M. Rohe; Hans Uwe Wolf (2007), "Zinc Compounds", Ullmann's Encyclopedia of Industrial Chemistry (7th ed.), Wiley, pp. 1–6, doi:10.1002/14356007.a28_537, ISBN 978-3527306732
  5. ^ a b c d e f Wells, A. F. (1984). Structural Inorganic Chemistry. Oxford: Clarendon Press. ISBN 978-0-19-855370-0.
  6. ^ Oswald, H. R.; Jaggi, H. (1960). "Zur Struktur der wasserfreien Zinkhalogenide I. Die wasserfreien Zinkchloride". Helvetica Chimica Acta. 43 (1): 72–77. doi:10.1002/hlca.19600430109.
  7. ^ Brynestad, J.; Yakel, H. L. (1978). "Preparation and Structure of Anhydrous Zinc Chloride". Inorganic Chemistry. 17 (5): 1376–1377. doi:10.1021/ic50183a059.
  8. ^ Brehler, B. (1961). "Kristallstrukturuntersuchungen an ZnCl2". Zeitschrift für Kristallographie. 115 (5–6): 373–402. Bibcode:1961ZK....115..373B. doi:10.1524/zkri.1961.115.5-6.373.
  9. ^ Mackenzie, J. D.; Murphy, W. K. (1960). "Structure of Glass-Forming Halides. II. Liquid Zinc Chloride". The Journal of Chemical Physics. 33 (2): 366–369. Bibcode:1960JChPh..33..366M. doi:10.1063/1.1731151.
  10. ^ a b Prince, R. H. (1994). King, R. B. (ed.). Encyclopedia of Inorganic Chemistry. John Wiley & Sons. ISBN 978-0-471-93620-6.
  11. ^ Ray, H. S. (2006). Introduction to Melts: Molten Salts, Slags and Glasses. Allied Publishers. ISBN 978-81-7764-875-1.
  12. ^ Danek, V. (2006). Physico-Chemical Analysis of Molten Electrolytes. Elsevier. ISBN 978-0-444-52116-3.
  13. ^ Price, D. L.; Saboungi, M.-L.; Susman, S.; Volin, K. J.; Wright, A. C. (1991). "Neutron Scattering Function of Vitreous and Molten Zinc Chloride". Journal of Physics: Condensed Matter. 3 (49): 9835–9842. Bibcode:1991JPCM....3.9835P. doi:10.1088/0953-8984/3/49/001.
  14. ^ a b c d Holleman, A. F.; Wiberg, E. (2001). Inorganic Chemistry. San Diego: Academic Press. ISBN 978-0-12-352651-9.
  15. ^ Glenn J. McGarvey Jean‐François Poisson Sylvain Taillemaud (2016). "Zinc chloride". Encyclopedia of Reagents for Organic Synthesis: 1–20. doi:10.1002/047084289X.rz007.pub3. ISBN 9780470842898.
  16. ^ Pray, A. P. (1990). Anhydrous Metal Chlorides. Inorganic Syntheses. 28. pp. 321–322.
  17. ^ Mulzer, J.; Waldmann, H., eds. (1998). Organic Synthesis Highlights. 3. Wiley-VCH. ISBN 978-3-527-29500-5.
  18. ^ Bouma, R. J.; Teuben, J. H.; Beukema, W. R.; Bansemer, R. L.; Huffman, J. C.; Caulton, K. G. (1984). "Identification of the Zinc Reduction Product of VCl3 · 3THF as [V2Cl3(THF)6]2[Zn2Cl6]". Inorganic Chemistry. 23 (17): 2715–2718. doi:10.1021/ic00185a033.
  19. ^ Irish, D. E.; McCarroll, B.; Young, T. F. (1963). "Raman Study of Zinc Chloride Solutions". The Journal of Chemical Physics. 39 (12): 3436–3444. Bibcode:1963JChPh..39.3436I. doi:10.1063/1.1734212.
  20. ^ Yamaguchi, T.; Hayashi, S.; Ohtaki, H. (1989). "X-Ray Diffraction and Raman Studies of Zinc(II) Chloride Hydrate Melts, ZnCl2 · R H2O (R = 1.8, 2.5, 3.0, 4.0, and 6.2)". The Journal of Physical Chemistry. 93 (6): 2620–2625. doi:10.1021/j100343a074.
  21. ^ Pye, C. C.; Corbeil, C. R.; Rudolph, W. W. (2006). "An ab initio Investigation of Zinc Chloro Complexes". Physical Chemistry Chemical Physics. 8 (46): 5428–5436. Bibcode:2006PCCP....8.5428P. doi:10.1039/b610084h. ISSN 1463-9076. PMID 17119651. S2CID 37521287.
  22. ^ Brown, I. D. (2006). The Chemical Bond in Inorganic Chemistry: The Bond Valence Model. Oxford University Press. ISBN 978-0-19-929881-5.
  23. ^ Zhang, X. G. (1996). Corrosion and Electrochemistry of Zinc. Springer. ISBN 978-0-306-45334-2. Staff writer(s). "Simonkolleite Mineral Data". webmineral.com. Retrieved October 16, 2014.
  24. ^ Vulte, H. T. (2007). Laboratory Manual of Inorganic Preparations. Read Books. ISBN 978-1-4086-0840-1.
  25. ^ Yamaguchi, T.; Lindqvist, O. (1981). "The Crystal Structure of Diamminedichlorozinc(II), ZnCl2(NH3)2. A New Refinement" (PDF). Acta Chemica Scandinavica A. 35 (9): 727–728. doi:10.3891/acta.chem.scand.35a-0727.
  26. ^ Yamaguchi, T.; Ohtaki, H. (1978). "X-Ray Diffraction Studies on the Structures of Tetraammine- and Triamminemonochlorozinc(II) Ions in Aqueous Solution". Bulletin of the Chemical Society of Japan. 51 (11): 3227–3231. doi:10.1246/bcsj.51.3227.
  27. ^ Wilson, A. D.; Nicholson, J. W. (1993). Acid-Base Cements: Their Biomedical and Industrial Applications. Cambridge University Press. ISBN 978-0-521-37222-0.
  28. ^ House, J. E. (2008). Inorganic Chemistry. Academic Press. ISBN 978-0-12-356786-4.
  29. ^ Mellow, J. W. (1946). A Comprehensive Treatise on Inorganic and Theoretical Chemistry. Longmans, Green.
  30. ^ Feigl, F.; Caldas, A. (1956). "Some Applications of Fusion Reactions with Zinc Chloride in Inorganic Spot Test Analysis". Microchimica Acta. 44 (7–8): 1310–1316. doi:10.1007/BF01257465. S2CID 96823985.
  31. ^ American Society for Metals (1990). ASM handbook. ASM International. ISBN 978-0-87170-021-6.
  32. ^ Xu, Q.; Chen, L.-F. (1999). "Ultraviolet Spectra and Structure of Zinc-Cellulose Complexes in Zinc Chloride Solution". Journal of Applied Polymer Science. 71 (9): 1441–1446. doi:10.1002/(SICI)1097-4628(19990228)71:9<1441::AID-APP8>3.0.CO;2-G.
  33. ^ Fischer, S.; Leipner, H.; Thümmler, K.; Brendler, E.; Peters, J. (2003). "Inorganic Molten Salts as Solvents for Cellulose". Cellulose. 10 (3): 227–236. doi:10.1023/A:1025128028462. S2CID 92194004.
  34. ^ a b Wiberg, Nils (2007). Lehrbuch der Anorganischen Chemie [Holleman & Wiberg, Textbook of Inorganic chemistry] (in German). de Gruyter, Berlin. p. 1491. ISBN 978-3-11-017770-1.
  35. ^ Olah, George A.; Doggweiler, Hans; Felberg, Jeff D.; Frohlich, Stephan; Grdina, Mary Jo; Karpeles, Richard; Keumi, Takashi; Inaba, Shin-ichi; Ip, Wai M.; Lammertsma, Koop; Salem, George; Tabor, Derrick (1984). "Onium Ylide chemistry. 1. Bifunctional acid-base-catalyzed conversion of heterosubstituted methanes into ethylene and derived hydrocarbons. The onium ylide mechanism of the C1 → C2 conversion". J. Am. Chem. Soc. 106 (7): 2143–2149. doi:10.1021/ja00319a039.
  36. ^ Chang, Clarence D. (1983). "Hydrocarbons from Methanol". Catal. Rev. - Sci. Eng. 25 (1): 1–118. doi:10.1080/01614948308078874.
  37. ^ Shriner, R. L.; Ashley, W. C.; Welch, E. (1942). "2-Phenylindole". Organic Syntheses. 22: 98. doi:10.15227/orgsyn.022.00981955.; Collective Volume, 3, p. 725
  38. ^ Cooper, S. R. (1941). "Resacetophenone". Organic Syntheses. 21: 103. doi:10.15227/orgsyn.021.0103.; Collective Volume, 3, p. 761
  39. ^ Dike, S. Y.; Merchant, J. R.; Sapre, N. Y. (1991). "A New and Efficient General Method for the Synthesis of 2-Spirobenzopyrans: First Synthesis of Cyclic Analogues of Precocene I and Related Compounds". Tetrahedron. 47 (26): 4775–4786. doi:10.1016/S0040-4020(01)86481-4.
  40. ^ Furnell, B. S. (1989). Vogel's Textbook of Practical Organic Chemistry (5th ed.). New York: Longman/Wiley.
  41. ^ Bauml, E.; Tschemschlok, K.; Pock, R.; Mayr, H. (1988). "Synthesis of γ-Lactones from Alkenes Employing p-Methoxybenzyl Chloride as +CH2-CO2 Equivalent" (PDF). Tetrahedron Letters. 29 (52): 6925–6926. doi:10.1016/S0040-4039(00)88476-2.
  42. ^ Kim, S.; Kim, Y. J.; Ahn, K. H. (1983). "Selective Reduction of Tertiary, Allyl, and Benzyl Halides by Zinc-Modified Cyanoborohydride in Diethyl Ether". Tetrahedron Letters. 24 (32): 3369–3372. doi:10.1016/S0040-4039(00)86272-3.
  43. ^ House, H. O.; Crumrine, D. S.; Teranishi, A. Y.; Olmstead, H. D. (1973). "Chemistry of Carbanions. XXIII. Use of Metal Complexes to Control the Aldol Condensation". Journal of the American Chemical Society. 95 (10): 3310–3324. doi:10.1021/ja00791a039.
  44. ^ Sample, B. E. (1997). Methods for Field Studies of Effects of Military Smokes, Obscurants, and Riot-control Agents on Threatened and Endangered Species. DIANE Publishing. ISBN 978-1-4289-1233-5.
  45. ^ Menzel, E. R. (1999). Fingerprint Detection with Lasers. CRC Press. ISBN 978-0-8247-1974-6.
  46. ^ Watts, H. (1869). A Dictionary of Chemistry and the Allied Branches of Other Sciences. Longmans, Green.
  47. ^ McLean, David (April 2010). "Protecting wood and killing germs: 'Burnett's Liquid' and the origins of the preservative and disinfectant industries in early Victorian Britain". Business History. 52 (2): 285–305.
  48. ^ McDaniel, S; Goldman, GD (December 2002). "Arch Dermatol. 2002 Dec;138(12):1593-6. Consequences of using escharotic agents as primary treatment for nonmelanoma skin cancer". Arch Dermatol. 138 (12): 1593–6. doi:10.1001/archderm.138.12.1593. PMID 12472348.
  49. ^ "187 Fake Cancer "Cures" Consumers Should Avoid". U.S. Food and Drug Administration. July 7, 2009. Retrieved December 21, 2009.
  50. ^ Rodriguez Jr., Reynaldo R. (May 20, 2008). "Hampton, Burt 20-May-08". Food and Drug Administration. Retrieved January 1, 2010.
  51. ^ "NIOSH Pocket Guide to Chemical Hazards". CDC.gov. Retrieved 30 October 2020.

External links

This article is copied from an article on Wikipedia® - the free encyclopedia created and edited by its online user community. The text was not checked or edited by anyone on our staff. Although the vast majority of Wikipedia® encyclopedia articles provide accurate and timely information, please do not assume the accuracy of any particular article. This article is distributed under the terms of GNU Free Documentation License.

Copyright © 2003-2025 Farlex, Inc Disclaimer
All content on this website, including dictionary, thesaurus, literature, geography, and other reference data is for informational purposes only. This information should not be considered complete, up to date, and is not intended to be used in place of a visit, consultation, or advice of a legal, medical, or any other professional.