Wikipedia

Stannabenzene

Stannabenzene
Stannabenzene.svg
Stannabenzene-Spartan-MP2-3D-balls.png
Stannabenzene-Spartan-MP2-3D-SF.png
Names
IUPAC name
Stannine
Other names
Stannin
Identifiers
3D model (JSmol)
ChemSpider
CompTox Dashboard (EPA)
Properties
Chemical formula
C5H6Sn
Molar mass 184.813 g·mol−1
Except where otherwise noted, data are given for materials in their standard state (at 25 °C [77 °F], 100 kPa).

Stannabenzene (C5H6Sn) is the parent representative of a group of organotin compounds that are related to benzene with a carbon atom replaced by a tin atom. Stannabenzene itself has been studied by computational chemistry,[1] but has not been isolated.

Stable derivatives of stannabenzene

Stable derivatives of stannabenzene have been isolated. The 2-stannanaphthalene depicted below is stable in an inert atmosphere at temperatures below 140 °C.[2] The tin to carbon bond in this compound is shielded from potential reactants by two very bulky groups, one tert-butyl group and the even larger 2,4,6-tris[bis(trimethylsilyl)methyl]phenyl or Tbt group. The two Sn-C bonds have bond lengths of 202.9 and 208.1 pm which are shorter than those for Sn-C single bonds (214 pm) and comparable to that of known Sn=C double bonds (201.6 pm). The C-C bonds show little variation with bond lengths between 135.6 and 144.3 pm signaling that this compound is aromatic.

A stable 2-stannanaphthalene derivative

Tbt-substituted 9-stannaphenanthrene was reported in 2005.[3] At room temperature it forms the [4+2] cycloadduct.

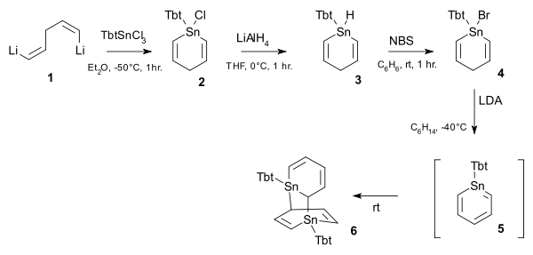
Tbt-substituted stannabenzene was reported in 2010.[4] At room-temperature it quantitatively forms the DA dimer.

Tbt-substituted stannabenzene synthesis. Reagents lithium aluminum hydride (step 2), NBS (step 3), LDA (step 4)

See also

References

  1. ^ Ebrahimi, Arash Afshar; Ghiasi, Reza; Foroutan-Nejad, Cina (2010). "Topological characteristics of the ring critical points and the aromaticity of groups IIIA to VIA hetero-benzenes". Journal of Molecular Structure: THEOCHEM. 941 (1–3): 47–52. doi:10.1016/j.theochem.2009.10.038.
  2. ^ Mizuhata, Yoshiyuki; Sasamori, Takahiro; Takeda, Nobuhiro; Tokitoh, Norihiro (2006). "A Stable Neutral Stannaaromatic Compound: Synthesis, Structure and Complexation of a Kinetically Stabilized 2-Stannanaphthalene". Journal of the American Chemical Society. 128 (4): 1050–1. doi:10.1021/ja057531d. PMID 16433501.
  3. ^ Generation of 9-Stannaphenanthrene and Its Reactivities Yoshiyuki Mizuhata, Nobuhiro Takeda, Takahiro Sasamori and Norihiro Tokitoh Chemistry Letters Volume 34 Number 8 Year 2005 Page 1088 doi:10.1246/cl.2005.1088
  4. ^ Generation of Stannabenzenes and Their Properties Yoshiyuki Mizuhata, Naoya Noda, and Norihiro Tokitoh Organometallics, 2010, 29 (21), pp 4781–4784 doi: 10.1021/om100382n
This article is copied from an article on Wikipedia® - the free encyclopedia created and edited by its online user community. The text was not checked or edited by anyone on our staff. Although the vast majority of Wikipedia® encyclopedia articles provide accurate and timely information, please do not assume the accuracy of any particular article. This article is distributed under the terms of GNU Free Documentation License.

Copyright © 2003-2025 Farlex, Inc Disclaimer
All content on this website, including dictionary, thesaurus, literature, geography, and other reference data is for informational purposes only. This information should not be considered complete, up to date, and is not intended to be used in place of a visit, consultation, or advice of a legal, medical, or any other professional.