Wikipedia

PolyAMPS

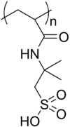
Chemical structure of polyAMPS

PolyAMPS, or poly(2-acrylamido-2-methyl-1-propanesulfonic acid) (trademark of the Lubrizol Corporation), is an organic polymer. It is water-soluble, forms gels when cross linked, and acts as a strong anionic polyelectrolyte. It can be used for ion exchange resins. It can form hydrogels.

See also

  • 2-Acrylamido-2-methylpropane sulfonic acid (AMPS)


This article is copied from an article on Wikipedia® - the free encyclopedia created and edited by its online user community. The text was not checked or edited by anyone on our staff. Although the vast majority of Wikipedia® encyclopedia articles provide accurate and timely information, please do not assume the accuracy of any particular article. This article is distributed under the terms of GNU Free Documentation License.

Copyright © 2003-2025 Farlex, Inc Disclaimer
All content on this website, including dictionary, thesaurus, literature, geography, and other reference data is for informational purposes only. This information should not be considered complete, up to date, and is not intended to be used in place of a visit, consultation, or advice of a legal, medical, or any other professional.