Wikipedia

Phosphonium

Also found in: Dictionary, Medical.
Structure of PH+
4
, the parent phosphonium cation.

The phosphonium (more obscurely: phosphinium) cation describes polyatomic cations with the chemical formula PR+
4
(R = H, alkyl, aryl, halide). They are tetrahedral and generally colorless.[1]

Types of phosphonium cations

Protonated phosphines

The parent phosphonium is PH+
4
as found in the iodide salt, phosphonium iodide. Salts of the parent PH+
4
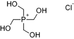
are rarely encountered, but this ion is an intermediate in the preparation of the industrially useful tetrakis(hydroxymethyl)phosphonium chloride:

PH3 + HCl + 4 CH2O → P(CH
2
OH)+
4
Cl

Many organophosphonium salts are produced by protonation of primary, secondary, and tertiary phosphines:

PR3 + H+HPR+
3

The basicity of phosphines follows the usual trends, with R = alkyl being more basic than R = aryl.[2]

Tetraorganophosphonium cations

The most common phosphonium compounds have four organic substituents attached to phosphorus. The quaternary phosphonium cations include tetraphenylphosphonium, (C6H5)4P+ and tetramethylphosphonium P(CH
3
)+
4
.

Tetramethylphosphonium bromide[3]
Structure of solid "phosphorus pentachloride", illustrating its autoionization to tetrachlorophosphonium.[4]

Quaternary phosphonium cations (PR+
4
) are produced by alkylation of organophosphines.[3] For example, the reaction of triphenylphosphine with methyl bromide gives methyltriphenylphosphonium bromide:

PPh3 + CH3Br → [CH3PPh3]+Br-

The methyl group in such phosphonium salts is mildly acidic, with an pKa estimated to be near 15:[5]

[CH3PPh3]+ + base → CH2=PPh3 + [Hbase]+

This deprotonation reaction gives Wittig reagents.[6]

Phosphorus pentachloride and related compounds

Solid phosphorus pentachloride is an ionic compound, formulated PCl+
4
PCl
6
, that is, a salt containing the tetrachlorophosphonium cation.[7][8] Dilute solutions dissociate according to the following equilibrium:

PCl5PCl+
4
+ Cl

Triphenylphosphine dichloride (Ph3PCl2) exists both as the pentacoordinate phosphorane and as the chlorotriphenylphosphonium chloride, depending on the medium.[9] The situation is similar to that of PCl5. It is an ionic compound (PPh3Cl)+Cl in polar solutions and a molecular species with trigonal bipyramidal molecular geometry in apolar solution.[10]

Alkoxyphosphonium salts: Arbuzov reaction

The Michaelis–Arbuzov reaction is the chemical reaction of a trivalent phosphorus ester with an alkyl halide to form a pentavalent phosphorus species and another alkyl halide. Commonly, the phosphorus substrate is a phosphite ester (P(OR)3) and the alkylating agent is an alkyl iodide.[11]

The mechanism of the Michaelis–Arbuzov reaction

Uses

Textile finishes

Tetrakis(hydroxymethyl)phosphonium chloride is used in production of textiles.

Tetrakis(hydroxymethyl)phosphonium chloride has industrial importance in the production of crease-resistant and flame-retardant finishes on cotton textiles and other cellulosic fabrics.[12][13] A flame-retardant finish can be prepared from THPC by the Proban Process,[14] in which THPC is treated with urea. The urea condenses with the hydroxymethyl groups on THPC. The phosphonium structure is converted to phosphine oxide as the result of this reaction.[15]

Phase-transfer catalysts and precipitating agents

Organic phosphonium cations are lipophilic and can be useful in phase transfer catalysis, much like quaternary ammonium salts.

Synthesis of phosphonium halides from triphenylphosphine and an alkyl halide

The cation tetraphenylphosphonium (PPh+
4
) is a useful precipitating agent.

Reagents for organic synthesis

Wittig reagents are used in organic synthesis. They are derived from phosphonium salts. A strong base such as butyllithium or sodium amide is required for the deprotonation:

[Ph3P+CH2R]X + C4H9Li → Ph3P=CHR + LiX + C4H10

One of the simplest ylides is methylenetriphenylphosphorane (Ph3P=CH2).[6]

The compounds Ph3PX2 (X = Cl, Br) are used in the Kirsanov reaction.[16]

The Kinnear–Perren reaction is used to prepare alkylphosphonyl dichlorides (RP(O)Cl2) and esters (RP(O)(OR′)2). A key intermediate are alkyltrichlorophosphonium salts, obtained bby the alkylation of phosphorus trichloride:[17]

RCl + PCl3 + AlCl3 → [RPCl3]+AlCl4

See also

References

  1. ^ Corbridge, D. E. C. (1995). Phosphorus: An Outline of its Chemistry, Biochemistry, and Technology (5th ed.). Amsterdam: Elsevier. ISBN 978-0-444-89307-9.
  2. ^ Li, T.; Lough, A. J.; Morris, R. H. (2007). "An Acidity Scale of Tetrafluoroborate Salts of Phosphonium and Iron Hydride Compounds in [D2]Dichloromethane". Chem. Eur. J. 13 (13): 3796–3803. doi:10.1002/chem.200601484. PMID 17245785.
  3. ^ a b H.-F. Klein (1978). "Trimethylphosphonium Methylide (Trimethyl Methylenephosphorane)". Inorganic Syntheses. Inorganic Syntheses. 18. pp. 138–140. doi:10.1002/9780470132494.ch23. ISBN 9780470132494.
  4. ^ Finch, A.; Fitch, A.N.; Gates, P.N. (1993). "Crystal and Molecular structure of a metastable modification of phosphorus pentachloride". Journal of the Chemical Society, Chemical Communications (11): 957–958. doi:10.1039/c39930000957.
  5. ^ Ling-Chung, Sim; Sales, Keith D.; Utley, James H. P. (1990). "Measurement of pKa Values for Phosphonium Salts via the Kinetics of Proton Transfer to an Electrogenerated Base". Journal of the Chemical Society, Chemical Communications (9): 662. doi:10.1039/C39900000662.
  6. ^ a b Wittig; Schoellkopf, U. (1960). "Methylenecyclohexane". Organic Syntheses. 40: 66. doi:10.15227/orgsyn.040.0066.. Describes Ph3P=CH2.
  7. ^ Holleman, A. F.; Wiber, E.; Wiberg, N. (2001). Inorganic Chemistry. Academic Press. ISBN 978-0-12-352651-9.
  8. ^ Suter, R. W.; Knachel, H. C.; Petro, V. P.; Howatson, J. H. & Shore, S. G. (1978). "Nature of Phosphorus(V) Chloride in Ionizing and Nonionizing Solvents". Journal of the American Chemical Society. 95 (5): 1474–1479. doi:10.1021/ja00786a021.
  9. ^ S. M. Godfrey; C. A. McAuliffe; R. G. Pritchard; J. M. Sheffield (1996). "An X-ray crystallorgraphic study of the reagent Ph3PCl2; not charge-transfer, R3P–Cl–Cl, trigonal bipyramidal or [R3PCl]Cl but an unusual dinuclear ionic species, [Ph3PCl+⋯Cl+CIPPh3]Cl containing long Cl–Cl contacts". Chemical Communications (22): 2521–2522. doi:10.1039/CC9960002521.
  10. ^ Jennings, EV; Nikitin, K; Ortin, Y; Gilheany, DG (2014). "Degenerate Nucleophilic Substitution in Phosphonium Salts". J. Am. Chem. Soc. 136 (46): 16217–16226. doi:10.1021/ja507433g. PMID 25384344.
  11. ^ Bhattacharya, A. K.; Thyagarajan, G. (1981). "Michaelis–Arbuzov rearrangement". Chem. Rev. 81 (4): 415–430. doi:10.1021/cr00044a004.
  12. ^ Weil, Edward D.; Levchik, Sergei V. (2008). "Flame Retardants in Commercial Use or Development for Textiles". J. Fire Sci. 26 (3): 243–281. doi:10.1177/0734904108089485. S2CID 98355305.
  13. ^ Svara, Jürgen; Weferling, Norbert ; Hofmann, Thomas. Phosphorus Compounds, Organic. Ullmann's Encyclopedia of Industrial Chemistry. John Wiley & Sons, Inc., 2008 doi:10.1002/14356007.a19_545.pub2
  14. ^ "Frequently asked questions: What is the PROBAN® process?". Rhodia Proban. Retrieved February 25, 2013.
  15. ^ Reeves, Wilson A.; Guthrie, John D. (1956). "Intermediate for Flame-Resistant Polymers-Reactions of Tetrakis(hydroxymethyl)phosphonium Chloride". Industrial and Engineering Chemistry. 48 (1): 64–67. doi:10.1021/ie50553a021.
  16. ^ Studies in Organophosphorus Chemistry. I. Conversion of Alcohols and Phenols to Halides by Tertiary Phosphine Dihalides G. A. Wiley, R. L. Hershkowitz, B. M. Rein, B. C. Chung J. Am. Chem. Soc., 1964, 86 (5), pp 964–965 doi:10.1021/ja01059a073
  17. ^ Svara, J.; Weferling, N.; Hofmann, T. "Phosphorus Compounds, Organic". Ullmann's Encyclopedia of Industrial Chemistry. Weinheim: Wiley-VCH. doi:10.1002/14356007.a19_545.pub2.
This article is copied from an article on Wikipedia® - the free encyclopedia created and edited by its online user community. The text was not checked or edited by anyone on our staff. Although the vast majority of Wikipedia® encyclopedia articles provide accurate and timely information, please do not assume the accuracy of any particular article. This article is distributed under the terms of GNU Free Documentation License.

Copyright © 2003-2025 Farlex, Inc Disclaimer
All content on this website, including dictionary, thesaurus, literature, geography, and other reference data is for informational purposes only. This information should not be considered complete, up to date, and is not intended to be used in place of a visit, consultation, or advice of a legal, medical, or any other professional.