Wikipedia

p-Xylene

Also found in: Dictionary, Encyclopedia.
p-Xylene
Skeletal formula
Space-filling model
Space-filling model
Names
Preferred IUPAC name
1,4-Xylene
Systematic IUPAC name
4-Methyltoluene
Other names
p-Xylene, 1,4-dimethylbenzene, p-dimethylbenzene; p-xylol; 1,4-xylene; p-methyltoluene; paraxylene; chromar; scintillar; 4-methyltoluene; NSC 72419; or 1,4-dimethylbenzene.[1]
Identifiers
3D model (JSmol)
ChEBI
ChEMBL
ChemSpider
ECHA InfoCard 100.003.088 Edit this at Wikidata
KEGG
RTECS number
  • ZE2625000
UNII
CompTox Dashboard (EPA)
Properties
Chemical formula
C8H10
Molar mass 106.168 g·mol−1
Appearance Colorless liquid
Odor Aromatic[2]
Density 0.861 g/mL
Melting point 13.2 °C (55.8 °F; 286.3 K)
Boiling point 138.35 °C (281.03 °F; 411.50 K)
Insoluble
Solubility in ethanol Very soluble
Solubility in diethyl ether Very soluble
Vapor pressure 9 mmHg (20°C)[2]
-76.78·10−6 cm3/mol
1.49582
Viscosity 0.7385 cP at 0 °C
0.6475 cP at 20 °C
Dipole moment
0.00 D [3]
Hazards
Main hazards Harmful or fatal if swallowed. Vapor harmful. Flammable liquid and vapor.
Safety data sheet See: data page
External MSDS
R-phrases (outdated) R10 R20 R21 R36 R38
S-phrases (outdated) S25
NFPA 704 (fire diamond)
NFPA 704 four-colored diamond
3
2
0
Flash point 27 °C (81 °F; 300 K) [4]
Autoignition
temperature
528 °C (982 °F; 801 K)[4]
Explosive limits 1.1%-7.0%[2]
100 ppm[4] (TWA), 150 ppm[4] (STEL)
Lethal dose or concentration (LD, LC):
4550 ppm (rat, 4 hr)[5]
3401 ppm (mouse)[5]
NIOSH (US health exposure limits):
PEL (Permissible)
TWA 100 ppm (435 mg/m3)[2]
REL (Recommended)
TWA 100 ppm (435 mg/m3) ST 150 ppm (655 mg/m3)[2]
IDLH (Immediate danger)
900 ppm[2]
Related compounds
benzene
toluene
o-xylene
m-xylene
Supplementary data page
Refractive index (n),
Dielectric constantr), etc.
Thermodynamic
data
Phase behaviour
solid–liquid–gas
UV, IR, NMR, MS
Except where otherwise noted, data are given for materials in their standard state (at 25 °C [77 °F], 100 kPa).

p-Xylene (para-xylene) is an aromatic hydrocarbon. It is one of the three isomers of dimethylbenzene known collectively as xylenes. The p- stands for para-, indicating that the two methyl groups in p-xylene occupy the diametrically opposite substituent positions 1 and 4. It is in the positions of the two methyl groups, their arene substitution pattern, that it differs from the other isomers, o-xylene and m-xylene. All have the same chemical formula C6H4(CH3)2. All xylene isomers are colorless and highly flammable. The odor threshold of p-xylene is 0.62 parts per million (ppm).[6]

Production

The production of p-xylene is industrially significant, with annual demand estimated at 37 million tons in 2014, and still on the increase.[7][8] p-Xylene is produced by catalytic reforming of petroleum naphtha as part of the BTX aromatics (benzene, toluene and the xylene isomers) extracted from the catalytic reformate. The p-xylene is then separated out in a series of distillation, adsorption or crystallization and reaction processes from the m-xylene, o-xylene, and ethylbenzene. Its melting point is the highest among this series of isomers, but simple crystallization does not allow easy purification due to the formation of eutectic mixtures.

Such separation procedures are major cost factors in the production of p-xylene, and the search for alternative methods continues. For example, a reverse-osmosis technique has been proposed to improve various aspects of the processes.[9]

Industrial applications

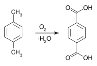
p-Xylene is an important chemical feedstock. Among other industrial applications, it is a raw material in the large scale synthesis of various polymers. In particular it is a component in the production of terephthalic acid for polyesters such as polyethylene terephthalate (generally known as PET). It also may be polymerised directly to produce parylene.

Terephthalic acid

Toxicity and exposure

Xylenes are not acutely toxic, for example the LD50 (rat, oral) is 4300 mg/kg. Effects vary with animal and xylene isomer.

Concerns with xylenes focus on narcotic effects. Overexposure of p-xylene in humans can cause headache, fatigue, dizziness, listlessness, confusion, irritability, gastrointestinal disturbances including nausea and loss of appetite, flushing of the face, and a feeling of increased body heat. p-Xylene vapor exposure over the recommended exposure limit of 100 parts per million (ppm) can cause irritation to eye, nose, and throat and possible chest tightening and an abnormal gait.[10]

p-Xylene occurs naturally in petroleum and coal tar. It is emitted by most combustion sources, including automobile exhaust and tobacco smoke.[11]

Inhalation

Inhaling p-xylene can cause dizziness, headache, drowsiness, and nausea. If exposure through inhalation occurs, first aid includes fresh air, rest and possible medical attention. Through the use of ventilation or breathing protection, exposure to p-xylene through inhalation can be prevented.[12]

Skin

Exposure of p-xylene through the skin can cause dry skin and redness. If skin exposure occurs, first aid includes rinsing and then washing the affected area with soap and water as well as removing any contaminated clothing and thoroughly cleaning and drying before reuse. Exposure can be prevented through the use of protective gloves.[12]

Eyes

Exposure of p-xylene to eyes can cause redness and pain. If eyes are exposed, first aid includes rinsing of the eyes with water for several minutes, removal of contact lenses if applicable, and medical attention. Eye exposure can be prevented through the use of safety glasses or safety goggles.[12]

Ingestion

Ingestion of p-xylene can result in a burning sensation, abdominal pain, dizziness, drowsiness, headache, and nausea. If p-xylene is ingested one's mouth should be rinsed and vomiting should not be induced. Further medical attention should be sought. Ingestion can be prevented by not eating, drinking, or smoking when working with p-xylene.[12]

Short-term exposure

p-Xylene can cause issues with the central nervous system and if swallowed could cause chemical pneumonitis when breathed into the lungs.[12]

Long-term exposure

Liquid p-xylene exposure to the skin over long periods of time can remove the fat from the skin. The substance may also have effects on the central nervous system. Exposure can enhance hearing loss caused by noise exposure. Animal tests suggest that this substance could cause damage to human development and reproductive systems.[12]

References

  1. ^ "p-xylene". NIST. Retrieved 21 February 2013.
  2. ^ a b c d e f NIOSH Pocket Guide to Chemical Hazards. "#0670". National Institute for Occupational Safety and Health (NIOSH).
  3. ^ Perry's Handbook of Chemical Engineers
  4. ^ a b c d "p-Xylene". International Chemical Safety Cards. ICSC/NIOSH. July 1, 2014.
  5. ^ a b "Xylenes". Immediately Dangerous to Life and Health Concentrations (IDLH). National Institute for Occupational Safety and Health (NIOSH).
  6. ^ "p-Xylene MSDS". ScienceLab.com.
  7. ^ Fabri, Jörg; Graeser, Ulrich; Simo, Thomas A. (2000). Ullmann's Encyclopedia of Industrial Chemistry. Wiley Online Library. doi:10.1002/14356007. ISBN 9783527303854. Retrieved February 8, 2015.
  8. ^ Nature 532,435–437 (28 April 2016) doi:10.1038/532435a
  9. ^ Koh, D. Y.; McCool, B. A.; Deckman, H. W.; Lively, R. P. (2016). "Reverse osmosis molecular differentiation of organic liquids using carbon molecular sieve membrane". Science. 353 (6301): 804–7. doi:10.1126/science.aaf1343. PMID 27540170. S2CID 9480478.
  10. ^ "Material Safety Data Sheet – Para-Xylene". Amoco. Archived from the original on 4 March 2016. Retrieved 13 February 2013.
  11. ^ EPA-454/R-93-048 Locating and estimating air emissions from sources of xylene Emission Inventory Branch Technical Support Division Office of Air Quality Planning and Standards U.S. Environmental Protection Agency March 1994
  12. ^ a b c d e f "para-Xylene". National Institute for Occupational Safety and Health. Retrieved 12 February 2013.

External links

This article is copied from an article on Wikipedia® - the free encyclopedia created and edited by its online user community. The text was not checked or edited by anyone on our staff. Although the vast majority of Wikipedia® encyclopedia articles provide accurate and timely information, please do not assume the accuracy of any particular article. This article is distributed under the terms of GNU Free Documentation License.

Copyright © 2003-2025 Farlex, Inc Disclaimer
All content on this website, including dictionary, thesaurus, literature, geography, and other reference data is for informational purposes only. This information should not be considered complete, up to date, and is not intended to be used in place of a visit, consultation, or advice of a legal, medical, or any other professional.