Wikipedia

Open-chain compound

Also found in: Dictionary.
(redirected from open-chain)

In chemistry, an open-chain compound (also spelled as open chain compound) or acyclic compound (Greek prefix "α", without and "κύκλος", cycle) is a compound with a linear structure, rather than a cyclic one.[1] An open-chain compound having no side chains is called a straight-chain compound (also spelled as straight chain compound).[2][3] Many of the simple molecules of organic chemistry, such as the alkanes and alkenes, have both linear and ring isomers, that is, both acyclic and cyclic, with the latter often classified as aromatic. For those with 4 or more carbons, the linear forms can have straight-chain or branched-chain isomers. The lowercase prefix n- denotes the straight-chain isomer; for example, n-butane is straight-chain butane, whereas i-butane is isobutane. Cycloalkanes are isomers of alkenes, not of alkanes, because the ring's closure involves a C-C bond. Having no rings (aromatic or otherwise), all open-chain compounds are aliphatic.

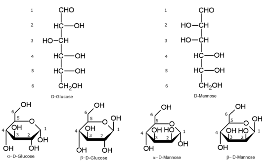
Typically in biochemistry, some isomers are more prevalent than others. For example, in living organisms, the open-chain isomer of glucose usually exists only transiently, in small amounts; D-glucose is the usual isomer; and L-glucose is rare.

Straight-chain molecules are often not literally straight, in the sense that their bond angles are often not 180°, but the name reflects that they are schematically straight. For example, the straight-chain alkanes are wavy or "puckered", as the models below show.

Isopentane-2D-skeletal.png Pentane-2D-Skeletal.svg Cyclopentane2d.png
branched-chain straight-chain cyclic
open-chain
n-nonane
Above the open-chain forms of glucose and mannose. Below the cyclic forms.

References

  1. ^ IUPAC, Compendium of Chemical Terminology, 2nd ed. (the "Gold Book") (1997). Online corrected version:  (2006–) "polycyclic system". doi:10.1351/goldbook.P04724
  2. ^ Coles, Lydia (1968). "A chromatographic method for the separation of branched-chain and straight-chain compounds of columns containing urea". Journal of Chromatography A. 32 (4): 657–661. doi:10.1016/S0021-9673(01)80544-6. PMID 5645558.
  3. ^ IUPAC, Compendium of Chemical Terminology, 2nd ed. (the "Gold Book") (1997). Online corrected version:  (2006–) "silazanes". doi:10.1351/goldbook.S05669
This article is copied from an article on Wikipedia® - the free encyclopedia created and edited by its online user community. The text was not checked or edited by anyone on our staff. Although the vast majority of Wikipedia® encyclopedia articles provide accurate and timely information, please do not assume the accuracy of any particular article. This article is distributed under the terms of GNU Free Documentation License.

Copyright © 2003-2025 Farlex, Inc Disclaimer
All content on this website, including dictionary, thesaurus, literature, geography, and other reference data is for informational purposes only. This information should not be considered complete, up to date, and is not intended to be used in place of a visit, consultation, or advice of a legal, medical, or any other professional.