Wikipedia

Nabumetone

Also found in: Dictionary, Medical.
Nabumetone
Nabumetone.svg
Clinical data
AHFS/Drugs.comMonograph
MedlinePlusa692022
Routes of
administration
By mouth
ATC code
Legal status
Legal status
  • AU: S4 (Prescription only)
  • UK: POM (Prescription only)
Pharmacokinetic data
Protein binding> 99% (active metabolite)
MetabolismHepatic, to active metabolite 6-methoxy-2-naphthylacetic acid; 6-MNA
Elimination half-life23 hours (active metabolite)
ExcretionRenal
Identifiers
CAS Number
PubChem CID
IUPHAR/BPS
DrugBank
ChemSpider
UNII
KEGG
ChEBI
ChEMBL
CompTox Dashboard (EPA)
ECHA InfoCard100.169.752 Edit this at Wikidata
Chemical and physical data
FormulaC15H16O2
Molar mass228.291 g·mol−1
3D model (JSmol)
(verify)
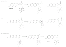
Three step CYP1A2 Mediated Metabolism of the prodrug Nabumetone to its active metabolite 6-MNA.[1]

Nabumetone is a nonsteroidal anti-inflammatory drug (NSAID).[2] Nabumetone has been developed by Beecham. It is available under numerous brand names, such as Relafen, Relifex, and Gambaran.

Nabumetone is a nonacidic NSAID prodrug that is rapidly metabolized in the liver to the active metabolite, 6-methoxy-2-naphthyl acetic acid. As found with previous NSAIDs, nabumetone's active metabolite inhibits the cyclooxygenase enzyme and preferentially blocks COX-2 activity (which is indirectly responsible for the production of inflammation and pain during arthritis). The active metabolite of nabumetone is felt to be the compound primarily responsible for therapeutic effect. Comparatively, the parent drug is a poor inhibitor of COX-2 byproducts, particularly prostaglandins. It may be less nephrotoxic than indomethacin.[3] There are two known polymorphs of the compound.[4]

Nabumetone has little effect on renal prostaglandin secretion and less of an association with heart failure than other traditional drugs of the class.[5] Effects of nabumetone on blood pressure control in hypertensive patients on ACE inhibitors is also good—equivalent to paracetamol.[6]

Medical uses

Similar in action to other NSAIDs, Nabumetone is used to treat pain and inflammation.

Side effects

It has been shown to have a slightly lower risk of gastrointestinal side effects than most other non-selective NSAIDs since it is a non-acidic prodrug which is then metabolized to its active 6MNA (6-methoxy-2-naphthylacetic acid) form.

Side effects include: Bloody or black, tarry stools; change in color, frequency, or amount of urine; chest pain; shortness of breath; coughing up blood; pale stools; numbness; weakness; flu-like symptoms; leg pain; vision problems; speech problems; problems walking; weight gain; stomach pain; cold sweat; skin rash; blisters; headache; swelling; bleeding; bruising; vomiting blood; jaundice; diarrhea; constipation; dizziness; indigestion; gas; nausea; and ringing in the ears.[7]

In October 2020, the U.S. Food and Drug Administration (FDA) required the drug label to be updated for all nonsteroidal anti-inflammatory medications to describe the risk of kidney problems in unborn babies that result in low amniotic fluid.[8][9] They recommend avoiding NSAIDs in pregnant women at 20 weeks or later in pregnancy.[8][9]

References

  1. ^ Varfaj, F.; Zulkifli, S. N. A.; Park, H.-G.; Challinor, V. L.; De Voss, J. J.; Ortiz de Montellano, P. R. (2014-02-28). "Carbon-Carbon Bond Cleavage in Activation of the Prodrug Nabumetone". Drug Metabolism and Disposition. 42 (5): 828–838. doi:10.1124/dmd.114.056903. ISSN 1521-009X. PMC 3989788. PMID 24584631.
  2. ^ Gonzalo-Garijo MA, Cordobés-Duran C, Lamilla-Yerga AM, Moreno-Gastón I (2007). "Severe immediate reaction to nabumetone". Journal of Investigational Allergology and Clinical Immunology. 17 (4): 274–6. PMID 17694703.
  3. ^ Olsen, N V; Jensen, N G; Hansen, J M; Christensen, N J; Fogh-Andersen, N; Kanstrup, I L (1999). "Non-steroidal anti-inflammatory drugs and renal response to exercise: a comparison of indomethacin and nabumetone". Clinical Science. 97 (4): 457–465. doi:10.1042/cs0970457. PMID 10491346. S2CID 33526598.
  4. ^ Price, C P; Grzesiak, A L; Lang, M; Matzger, A J (2002). "Polymorphism of Nabumetone". Crystal Growth & Design. 2 (6): 501–503. doi:10.1021/cg0255568.
  5. ^ Donnan, P T (2000). "098. A Drug-Safety Study to Examine the Possible Association of Congestive Heart Failure with Dispensed Nabumetone, Ibuprofen and other Non-Steroidal Anti-inflammatory Drugs". Pharmacoepidemiology & Drug Safety. 8 (S2): S115. doi:10.1002/(SICI)1099-1557(199908)8:2+<S79::AID-PDS429>3.0.CO;2-2.
  6. ^ Palmer, Robert H; Haig, Ann E; Flavin, Susan K; Iyengar, Malini K (2001). "Effects of ibuprofen (IB), nabumetone (N) and celecoxib (C) on blood pressure (BP) control in hypertensive patients on ACE inhibitors". American Journal of Hypertension. 14 (S1): 85A. doi:10.1016/S0895-7061(01)01811-8.
  7. ^ "Relafen (Nabumetone): Side Effects, Interactions, Warning, Dosage & Uses". RxList. Retrieved 2018-03-09.
  8. ^ a b "FDA Warns that Using a Type of Pain and Fever Medication in Second Half of Pregnancy Could Lead to Complications". U.S. Food and Drug Administration (FDA) (Press release). 15 October 2020. Retrieved 15 October 2020. This article incorporates text from this source, which is in the public domain.
  9. ^ a b "NSAIDs may cause rare kidney problems in unborn babies". U.S. Food and Drug Administration. 21 July 2017. Retrieved 15 October 2020. This article incorporates text from this source, which is in the public domain.
This article is copied from an article on Wikipedia® - the free encyclopedia created and edited by its online user community. The text was not checked or edited by anyone on our staff. Although the vast majority of Wikipedia® encyclopedia articles provide accurate and timely information, please do not assume the accuracy of any particular article. This article is distributed under the terms of GNU Free Documentation License.

Copyright © 2003-2025 Farlex, Inc Disclaimer
All content on this website, including dictionary, thesaurus, literature, geography, and other reference data is for informational purposes only. This information should not be considered complete, up to date, and is not intended to be used in place of a visit, consultation, or advice of a legal, medical, or any other professional.