Wikipedia

Monad (category theory)

In category theory, a branch of mathematics, a monad (also triple, triad, standard construction and fundamental construction)[1] is an endofunctor (a functor mapping a category to itself), together with two natural transformations required to fulfill certain coherence conditions. Monads are used in the theory of pairs of adjoint functors, and they generalize closure operators on partially ordered sets to arbitrary categories.

Introduction and definition

A monad is a certain type of endofunctor. For example, if and are a pair of adjoint functors, with left adjoint to , then the composition is a monad. If and are inverse functors, the corresponding monad is the identity functor. In general, adjunctions are not equivalences—they relate categories of different natures. The monad theory matters as part of the effort to capture what it is that adjunctions 'preserve'. The other half of the theory, of what can be learned likewise from consideration of , is discussed under the dual theory of comonads.

Formal definition

Throughout this article denotes a category. A monad on consists of an endofunctor together with two natural transformations: (where denotes the identity functor on ) and (where is the functor from to ). These are required to fulfill the following conditions (sometimes called coherence conditions):

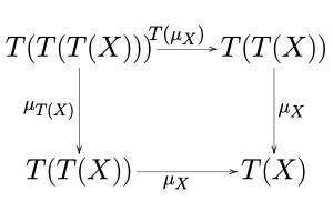
  • (as natural transformations );
  • (as natural transformations ; here denotes the identity transformation from to ).

We can rewrite these conditions using the following commutative diagrams:

Coherence law for the multiplication of a monad.svg
Coherence law for the unit of a monad.svg

See the article on natural transformations for the explanation of the notations and , or see below the commutative diagrams not using these notions:

Monad multiplication explicit.svg Monad unit explicit.svg

The first axiom is akin to the associativity in monoids if we think of as the monoid's binary operation, and the second axiom is akin to the existence of an identity element (which we think of as given by ). Indeed, a monad on can alternatively be defined as a monoid in the category whose objects are the endofunctors of and whose morphisms are the natural transformations between them, with the monoidal structure induced by the composition of endofunctors.

The power set monad

The power set monad is a monad on the category : For a set let be the power set of and for a function let be the function between the power sets induced by taking direct images under . For every set , we have a map , which assigns to every the singleton . The function

takes a set of sets to its union. These data describe a monad.

Remarks

The axioms of a monad are formally similar to the monoid axioms. In fact, monads are special cases of monoids, namely they are precisely the monoids among endofunctors , which is equipped with the multiplication given by composition of endofunctors.

Composition of monads is in general, not a monad. For example, double power set monad does not admit any monad structure. [2]

Comonads

The categorical dual definition is a formal definition of a comonad (or cotriple); this can be said quickly in the terms that a comonad for a category is a monad for the opposite category . It is therefore a functor from to itself, with a set of axioms for counit and comultiplication that come from reversing the arrows everywhere in the definition just given.

Monads are to monoids as comonads are to comonoids. Every set is a comonoid in a unique way, so comonoids are less familiar in abstract algebra than monoids; however, comonoids in the category of vector spaces with its usual tensor product are important and widely studied under the name of coalgebras.

Terminological history

The notion of monad was invented by Roger Godement in 1958 under the name "standard construction." In the 1960s and 1970s, many people used the name "triple." The now standard term "monad" is due to Saunders Mac Lane.

Examples

Monads arising from adjunctions

Any adjunction

gives rise to a monad on C. This very widespread construction works as follows: the endofunctor is the composite

This endofunctor is quickly seen to be a monad, where the unit map stems from the unit map of the adjunction, and the multiplication map is constructed using the counit map of the adjunction:

Double dualization

The double dualization monad, for a fixed field k arises from the adjunction

where both functors are given by sending a vector space V to its dual vector space . The associated monad sends a vector space V to its double dual . This monad is discussed, in much greater generality, by Kock (1970).

Closure operators on partially ordered sets

For categories arising from partially ordered sets (with a single morphism from to iff ), then the formalism becomes much simpler: adjoint pairs are Galois connections and monads are closure operators.

Free-forgetful adjunctions

For example, let be the forgetful functor from the category Grp of groups to the category Set of sets, and let be the free group functor from the category of sets to the category of groups. Then is left adjoint of . In this case, the associated monad takes a set and returns the underlying set of the free group . The unit map of this monad is given by the maps

including any set into the set in the natural way, as strings of length 1. Further, the multiplication of this monad is the map

made out of a natural concatenation or 'flattening' of 'strings of strings'. This amounts to two natural transformations. The preceding example about free groups can be generalized to any type of algebra in the sense of a variety of algebras in universal algebra. Thus, every such type of algebra gives rise to a monad on the category of sets. Importantly, the algebra type can be recovered from the monad (as the category of Eilenberg–Moore algebras), so monads can also be seen as generalizing varieties of universal algebras.

Another monad arising from an adjunction is when is the endofunctor on the category of vector spaces which maps a vector space to its tensor algebra , and which maps linear maps to their tensor product. We then have a natural transformation corresponding to the embedding of into its tensor algebra, and a natural transformation corresponding to the map from to obtained by simply expanding all tensor products.

Codensity monads

Under mild conditions, functors not admitting a left adjoint also give rise to a monad, the so-called codensity monad. For example, the inclusion

does not admit a left adjoint. Its codensity monad is the monad on sets sending any set X to the set of ultrafilters on X. This and similar examples are discussed in Leinster (2013).

Algebras for a monad

Given a monad on a category , it is natural to consider -algebras, i.e., objects of C acted upon by T in a way which is compatible with the unit and multiplication of the monad. More formally, a T-algebra is an object of together with an arrow of called the structure map of the algebra such that the diagrams

Monad multi algebra.svg and Monad unit algebra.svg

commute.

A morphism of -algebras is an arrow of such that the diagram

Monad morphism algebra.svg

commutes. T-algebras form a category called the Eilenberg–Moore category and denoted by .

Examples

Algebras over the free group monad

For example, for the free group monad discussed above, a T-algebra is a set X together with a map from the free group generated by X towards X subject to associativity and unitality conditions. Such a structure is equivalent to saying that X is a group itself.

Algebras over the distribution monad

Another example is the distribution monad on the category of sets. It is defined by sending a set to the set of functions with finite support and such that their sum is equal to . In set-builder notation, this is the set

By inspection of the definitions, it can be shown that algebras over the distribution monad are equivalent to convex sets, i.e., sets equipped with operations for subject to axioms resembling the behavior of convex linear combinations in Euclidean space.[3]

Algebras over the symmetric monad

Another useful example of a monad is the symmetric algebra functor on the category of -modules for a commutative ring .

sending an -module to the direct sum of symmetric tensor powers

where . For example, where the -algebra on the right is considered as a module. Then, an algebra over this monad are commutative -algebras. There are also algebras over the monads for the alternating tensors and total tensor functors giving anti-symmetric -algebras, and free -algebras, so

where the first ring is the free anti-symmetric algebra over in -generators and the second ring is the free algebra over in -generators.

Commutative algebras in E-infinity ring spectra

There is an analogous construction for commutative -algebras[4]pg 113 which gives commutative -algebras for a commutative -algebra . If is the category of -modules, then the functor is the monad given by

where

-times. Then there is an associated category of commutative -algebras from the category of algebras over this monad.

Monads and adjunctions

As was mentioned above, any adjunction gives rise to a monad. Conversely, every monad arises from some adjunction, namely the free–forgetful adjunction

whose left adjoint sends an object X to the free T-algebra T(X). However, there are usually several distinct adjunctions giving rise to a monad: let be the category whose objects are the adjunctions such that and whose arrows are the morphisms of adjunctions that are the identity on . Then the above free–forgetful adjunction involving the Eilenberg–Moore category is a terminal object in . An initial object is the Kleisli category, which is by definition the full subcategory of consisting only of free T-algebras, i.e., T-algebras of the form for some object x of C.

Monadic adjunctions

Given any adjunction with associated monad T, the functor G can be factored as

i.e., G(Y) can be naturally endowed with a T-algebra structure for any Y in D. The adjunction is called a monadic adjunction if the first functor yields an equivalence of categories between D and the Eilenberg–Moore category .[5] By extension, a functor is said to be monadic if it has a left adjoint forming a monadic adjunction. For example, the free–forgetful adjunction between groups and sets is monadic, since algebras over the associated monad are groups, as was mentioned above. In general, knowing that an adjunction is monadic allows one to reconstruct objects in D out of objects in C and the T-action.

Beck's monadicity theorem

Beck's monadicity theorem gives a necessary and sufficient condition for an adjunction to be monadic. A simplified version of this theorem states that G is monadic if it is conservative (or G reflects isomorphisms, i.e., a morphism in D is an isomorphism if and only if its image under G is an isomorphism in C) and C has and G preserves coequalizers.

For example, the forgetful functor from the category of compact Hausdorff spaces to sets is monadic. However the forgetful functor from all topological spaces to sets is not conservative since there are continuous bijective maps (between non-compact or non-Hausdorff spaces) that fail to be homeomorphisms. Thus, this forgetful functor is not monadic.[6] The dual version of Beck's theorem, characterizing comonadic adjunctions, is relevant in different fields such as topos theory and topics in algebraic geometry related to descent. A first example of a comonadic adjunction is the adjunction

for a ring homomorphism between commutative rings. This adjunction is comonadic, by Beck's theorem, if and only if B is faithfully flat as an A-module. It thus allows to descend B-modules, equipped with a descent datum (i.e., an action of the comonad given by the adjunction) to A-modules. The resulting theory of faithfully flat descent is widely applied in algebraic geometry.

Uses

Monads are used in functional programming to express types of sequential computation (sometimes with side-effects). See monads in functional programming, and the more mathematically oriented Wikibook module b:Haskell/Category theory.

In categorical logic, an analogy has been drawn between the monad-comonad theory, and modal logic via closure operators, interior algebras, and their relation to models of S4 and intuitionistic logics.

Generalization

It is possible to define monads in a 2-category . Monads described above are monads for .

See also

References

  1. ^ Barr, Michael; Wells, Charles (1985), "Toposes, Triples and Theories" (PDF), Grundlehren der mathematischen Wissenschaften, Springer-Verlag, 278, pp. 82 and 120, ISBN 0-387-96115-1.
  2. ^ Klin; Salamanca, Iterated Covariant Powerset is not a Monad, doi:10.1016/j.entcs.2018.11.013
  3. ^ Świrszcz, T. (1974), "Monadic functors and convexity", Bull. Acad. Polon. Sci. Sér. Sci. Math. Astronom. Phys., 22: 39–42, MR 0390019, Jacobs, Bart (2010), "Convexity, Duality and Effects", Theoretical Computer Science, IFIP Advances in Information and Communication Technology, 323, pp. 1–19, doi:10.1007/978-3-642-15240-5_1, ISBN 978-3-642-15239-9
  4. ^ "André–Quillen cohomology of commutative S-algebras". Journal of Pure and Applied Algebra. 144 (2): 111–143. 1999-12-15. doi:10.1016/S0022-4049(98)00051-6. ISSN 0022-4049.
  5. ^ MacLane (1978) uses a stronger definition, where the two categories are isomorphic rather than equivalent.
  6. ^ MacLane (1978, §§VI.3, VI.9)

Further reading

  • Barr, Michael; Wells, Charles (1999), Category Theory for Computing Science (PDF)
  • Godement, Roger (1958), Topologie Algébrique et Théorie des Faisceaux., Actualités Sci. Ind., Publ. Math. Univ. Strasbourg, 1252, Paris: Hermann, pp. viii+283 pp
  • Kock, Anders (1970), "On Double Dualization Monads", Mathematica Scandinavica, 27: 151, doi:10.7146/math.scand.a-10995
  • Leinster, Tom (2013), "Codensity and the ultrafilter monad", Theory and Applications of Categories, 28: 332–370, arXiv:1209.3606, Bibcode:2012arXiv1209.3606L
  • MacLane, Saunders (1978), Categories for the Working Mathematician, Graduate Texts in Mathematics, 5, doi:10.1007/978-1-4757-4721-8, ISBN 978-1-4419-3123-8
  • Pedicchio, Maria Cristina; Tholen, Walter, eds. (2004). Categorical Foundations. Special Topics in Order, Topology, Algebra, and Sheaf Theory. Encyclopedia of Mathematics and Its Applications. 97. Cambridge: Cambridge University Press. ISBN 0-521-83414-7. Zbl 1034.18001.
  • Riehl, Emily (2017), Category Theory in Context, ISBN 9780486820804
  • Turi, Daniele (1996–2001), Category Theory Lecture Notes (PDF)

External links

This article is copied from an article on Wikipedia® - the free encyclopedia created and edited by its online user community. The text was not checked or edited by anyone on our staff. Although the vast majority of Wikipedia® encyclopedia articles provide accurate and timely information, please do not assume the accuracy of any particular article. This article is distributed under the terms of GNU Free Documentation License.

Copyright © 2003-2025 Farlex, Inc Disclaimer
All content on this website, including dictionary, thesaurus, literature, geography, and other reference data is for informational purposes only. This information should not be considered complete, up to date, and is not intended to be used in place of a visit, consultation, or advice of a legal, medical, or any other professional.