Wikipedia

Indium(III) chloride

Also found in: Encyclopedia.
Indium(III) chloride
Indium(III) chloride
Names
Other names
Indium chloride
Indium trichloride
Identifiers
3D model (JSmol)
ChemSpider
ECHA InfoCard 100.030.027 Edit this at Wikidata
EC Number
  • 233-043-0
RTECS number
  • NL1400000
UNII
UN number 3260
CompTox Dashboard (EPA)
Properties
InCl3
Molar mass 221.18 g/mol
Appearance white flakes
Density 3.46 g/cm3
Melting point 586 °C (1,087 °F; 859 K)
Boiling point 800 °C (1,470 °F; 1,070 K)
195 g/100 mL, exothermic
Solubility in other solvents THF, Ethanol
Structure
Monoclinic, mS16
C12/m1, No. 12
Hazards
Main hazards Corrosive
Safety data sheet External SDS
GHS pictograms GHS05: CorrosiveGHS07: Harmful[1]
GHS Signal word Danger[1]
GHS hazard statements
H302, H314[1]
GHS precautionary statements
P260, P303+361+353, P305+351+338, P301+330+331, P405, P501[1]
NFPA 704 (fire diamond)
NFPA 704 four-colored diamond
0
2
0
Related compounds
Other anions
Indium(III) fluoride
Indium(III) bromide
Indium(III) iodide
Other cations
Aluminium chloride
Gallium trichloride
Thallium(III) chloride
Except where otherwise noted, data are given for materials in their standard state (at 25 °C [77 °F], 100 kPa).

Indium(III) chloride is the chemical compound with the formula InCl3. This salt is a white, flaky solid with applications in organic synthesis as a Lewis acid. It is also the most available soluble derivative of indium.[2]

Synthesis and structure

Being a relatively electropositive metal, indium reacts quickly with chlorine to give the trichloride. Indium trichloride is very soluble and deliquescent.[3] A synthesis has been reported using an electrochemical cell in a mixed methanol-benzene solution.[4]

Like AlCl3 and TlCl3, InCl3 crystallizes as a layered structure consisting of a close-packed chloride arrangement containing layers of octahedrally coordinated In(III) centers,[5] a structure akin to that seen in YCl3.[6] In contrast, GaCl3 crystallizes as dimers containing Ga2Cl6.[6] Molten InCl3 conducts electricity,[5] whereas AlCl3 does not as it converts to the molecular dimer, Al2Cl6.[7]

Reactions

InCl3 is a Lewis acid and forms complexes with donor ligands, L, InCl3L, InCl3L2, InCl3L3. For example, with the chloride ion it forms tetrahedral InCl4, trigonal bipyramidal InCl52−, and octahedral InCl63−.[5]

In diethyl ether solution, InCl3 reacts with lithium hydride, LiH, to form . This unstable compound decomposes below 0 °C,[8] and is reacted in situ in organic synthesis as a reducing agent[9] and to prepare tertiary amine and phosphine complexes of InH3.[10]

Trimethylindium, InMe3, can be produced by reacting InCl3 in diethyl ether solution either with the Grignard reagent or methyllithium, LiMe. Triethylindium can be prepared in a similar fashion but with the grignard reagent EtMgBr.[11]

InCl3 reacts with indium metal at high temperature to form the lower valent indium chlorides In5Cl9, In2Cl3 and InCl.[5]

Catalyst in chemistry

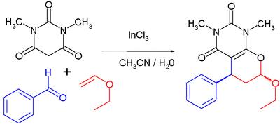
Indium chloride is a Lewis acid catalyst in organic reactions such as Friedel-Crafts acylations and Diels-Alder reactions. As an example of the latter,[12] the reaction proceeds at room temperature, with 1 mole% catalyst loading in an acetonitrile-water solvent mixture. The first step is a Knoevenagel condensation between the barbituric acid and the aldehyde; the second step is a reverse electron-demand Diels-Alder reaction, which is a multicomponent reaction of N,N'-dimethyl-barbituric acid, benzaldehyde and ethyl vinyl ether. With the catalyst, the reported chemical yield is 90% and the percentage trans isomer is 70%. Without the catalyst added, the yield drops to 65% with 50% trans product.

Indium chloride application, reaction product is mixture of cis-trans isomers

References

  1. ^ a b c d "Indium(III) Chloride". American Elements. Retrieved May 15, 2019.
  2. ^ Araki, S.; Hirashita, T. "Indium trichloride" in Encyclopedia of Reagents for Organic Synthesis (Ed: L. Paquette) 2004, J. Wiley & Sons, New York. doi:10.1002/047084289X.
  3. ^ Indium Trichloride
  4. ^ Habeeb, J. J.; Tuck, D. G. "Electrochemical Synthesis of Indium(III) Complexes" Inorganic Syntheses, 1979, volume XIX, ISBN 0-471-04542-X
  5. ^ a b c d Egon Wiberg, Arnold Frederick Holleman (2001) Inorganic Chemistry, Elsevier ISBN 0123526515
  6. ^ a b Wells, A.F. Structural Inorganic Chemistry, Oxford: Clarendon Press, 1984. ISBN 0-19-855370-6.
  7. ^ Greenwood, Norman N.; Earnshaw, Alan (1997). Chemistry of the Elements (2nd ed.). Butterworth-Heinemann. ISBN 978-0-08-037941-8.
  8. ^ Anthony John Downs (1993). Chemistry of aluminium, gallium, indium, and thallium. Springer. ISBN 0-7514-0103-X.
  9. ^ Main Group Metals in Organic Synthesis vol 1, ed. Hisashi Yamamoto, Koichiro Oshima, Wiley VCH, 2004, ISBN 3527305084
  10. ^ The Group 13 Metals Aluminium, Gallium, Indium and Thallium: Chemical Patterns and Peculiarities, Simon Aldridge, Anthony J. Downs, Wiley, 2011, ISBN 978-0-470-68191-6
  11. ^ Main Group compounds in Inorganic Syntheses, vol 31, By Schultz, Neumayer, Marks; Ed., Alan H. Cowley, John Wiley & Sons, Inc., 1997, ISBN 0471152889
  12. ^ An efficient synthesis of novel pyrano[2,3-d]- and furopyrano[2,3-d]pyrimidines via Indium-Catalyzed Multicomponent Domino Reaction Prajapati, D. Mukut Gohain, M. Beilstein Journal of Organic Chemistry 2006, 2:11 doi:10.1186/1860-5397-2-11
This article is copied from an article on Wikipedia® - the free encyclopedia created and edited by its online user community. The text was not checked or edited by anyone on our staff. Although the vast majority of Wikipedia® encyclopedia articles provide accurate and timely information, please do not assume the accuracy of any particular article. This article is distributed under the terms of GNU Free Documentation License.

Copyright © 2003-2025 Farlex, Inc Disclaimer
All content on this website, including dictionary, thesaurus, literature, geography, and other reference data is for informational purposes only. This information should not be considered complete, up to date, and is not intended to be used in place of a visit, consultation, or advice of a legal, medical, or any other professional.