Wikipedia

Glycerol

Also found in: Dictionary, Medical, Encyclopedia.
(redirected from glycerine)
Glycerol
Glycerol
Ball-and-stick model of glycerol
Space-filling model of glycerol
Sample of glycerine
Names
IUPAC name
Propane-1,2,3-triol [1]
Other names
Glycerin
Glycerine
Propanetriol
1,2,3-Trihydroxypropane
1,2,3-Propanetriol
Identifiers
3D model (JSmol)
ChEBI
ChEMBL
ChemSpider
DrugBank
ECHA InfoCard 100.000.263 Edit this at Wikidata
E number E422 (thickeners, ...)
IUPHAR/BPS
KEGG
UNII
CompTox Dashboard (EPA)
Properties
Chemical formula
C3H8O3
Molar mass 92.094 g·mol−1
Appearance Colorless hygroscopic liquid
Odor Odorless
Density 1.261 g/cm3
Melting point 17.8 °C (64.0 °F; 290.9 K)
Boiling point 290 °C (554 °F; 563 K)[5]
miscible[2]
log P -2.32[3]
Vapor pressure 0.003 mmHg (50 °C)[2]
-57.06·10−6 cm3/mol
1.4746
Viscosity 1.412 Pa·s[4]
Pharmacology
A06AG04 (WHO) A06AX01 (WHO), QA16QA03 (WHO)
Hazards
Safety data sheet See: data page
JT Baker
NFPA 704 (fire diamond)
NFPA 704 four-colored diamond
1
1
0
Flash point 160 °C (320 °F; 433 K) (closed cup)
176 °C (349 °F; 449 K) (open cup)
NIOSH (US health exposure limits):
PEL (Permissible)
TWA 15 mg/m3 (total) TWA 5 mg/m3 (resp)[2]
REL (Recommended)
None established[2]
IDLH (Immediate danger)
N.D.[2]
Supplementary data page
Structure and
properties
Refractive index (n),
Dielectric constantr), etc.
Thermodynamic
data
Phase behaviour
solid–liquid–gas
Spectral data
UV, IR, NMR, MS
Except where otherwise noted, data are given for materials in their standard state (at 25 °C [77 °F], 100 kPa).

Glycerol (/ˈɡlɪsərɒl/;[6] also called glycerine or glycerin) is a simple polyol compound. It is a colorless, odorless, viscous liquid that is sweet-tasting and non-toxic. The glycerol backbone is found in those lipids known as glycerides. Due to having antimicrobial and antiviral properties it is widely used in FDA approved wound and burn treatments. It can also be used as an effective marker to measure liver disease. It is also widely used as a sweetener in the food industry and as a humectant in pharmaceutical formulations. Owing to the presence of three hydroxyl groups, glycerol is miscible with water and is hygroscopic in nature.[7]

Structure

Although achiral, glycerol is prochiral with respect to reactions of one of the two primary alcohols. Thus, in substituted derivatives, the stereospecific numbering labels the molecule with a "sn-" prefix before the stem name of the molecule.[8][9][10]

Production

Glycerol is generally obtained from plant and animal sources where it occurs in triglycerides, esters of glycerol with long-chain carboxylic acids . The hydrolysis, saponification, or transesterification of these triglycerides produces glycerol as well as the fatty acid derivative:

3 NaOH / H
2
O

Rightward reaction arrow

Δ

3 × soap

3 ×  General sodium carboxylate.svg

Triglycerides can be saponified with sodium hydroxide to give glycerol and fatty sodium salt or soap.

Typical plant sources include soybeans or palm. Animal-derived tallow is another source. Approximately 950,000 tons per year are produced in the United States and Europe; 350,000 tons of glycerol were produced per year in the United States alone from 2000 to 2004.[11] The EU directive 2003/30/EC set a requirement that 5.75% of petroleum fuels are to be replaced with biofuel sources across all member states by 2010. It was projected in 2006 that by the year 2020, production would be six times more than demand, creating an excess of glycerol.[7]

Glycerol from triglycerides is produced on a large scale, but the crude product is of variable quality, with a low selling price of as low as 2-5 U.S. cents per kilogram in 2011.[12] It can be purified, but the process is expensive. Some glycerol is burned for energy, but its heat value is low.[13]

Crude glycerol from the hydrolysis of triglycerides can be purified by treatment with activated carbon to remove organic impurities, alkali to remove unreacted glycerol esters, and ion exchange to remove salts. High purity glycerol (> 99.5%) is obtained by multi-step distillation; a vacuum chamber is necessary due to its high boiling point (290 °C).[7]

Synthetic glycerol

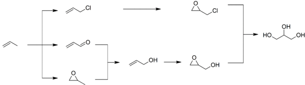
Although usually not cost-effective, glycerol can be produced by various routes from propene. The epichlorohydrin process is the most important: it involves the chlorination of propylene to give allyl chloride, which is oxidized with hypochlorite to dichlorohydrins, which reacts with a strong base to give epichlorohydrin. This epichlorohydrin is then hydrolyzed to give glycerol. Chlorine-free processes from propylene include the synthesis of glycerol from acrolein and propylene oxide.[7]

Synthetic routes to glycerol.png

Because of the large-scale production of biodiesel from fats, where glycerol is a waste product, the market for glycerol is depressed. Thus, synthetic processes are not economical. Owing to oversupply, efforts are being made to convert glycerol to synthetic precursors, such as acrolein and epichlorohydrin.[14] (See the Chemical intermediate section of this article).

Applications

Food industry

In food and beverages, glycerol serves as a humectant, solvent, and sweetener, and may help preserve foods. It is also used as filler in commercially prepared low-fat foods (e.g., cookies), and as a thickening agent in liqueurs. Glycerol and water are used to preserve certain types of plant leaves.[15] As a sugar substitute, it has approximately 27 kilocalories per teaspoon (sugar has 20) and is 60% as sweet as sucrose. It does not feed the bacteria that form plaques and cause dental cavities. As a food additive, glycerol is labeled as E number E422. It is added to icing (frosting) to prevent it from setting too hard.

As used in foods, glycerol is categorized by the U.S. Academy of Nutrition and Dietetics as a carbohydrate. The U.S. Food and Drug Administration (FDA) carbohydrate designation includes all caloric macronutrients excluding protein and fat. Glycerol has a caloric density similar to table sugar, but a lower glycemic index and different metabolic pathway within the body, so some dietary advocates accept glycerol as a sweetener compatible with low-carbohydrate diets.

It is also recommended as an additive when using polyol sweeteners such as erythritol and xylitol which have a cooling effect, due to its heating effect in the mouth, if the cooling effect is not wanted.[16]

Medical, pharmaceutical and personal care applications

A bottle of glycerin purchased at a pharmacy
Personal lubricants commonly contain glycerol
Glycerol is an ingredient in products such as hair gel
Glycerol suppositories used as laxatives

Glycerin is mildly antimicrobial and antiviral and is an FDA approved treatment for wounds. The Red Cross reports that an 85% solution of glycerin shows bactericidal and antiviral effects, and wounds treated with glycerin show reduced inflammation after roughly 2 hours. Due to this it is used widely in wound care products, including glycerin based hydrogel sheets for burns and other wound care. It is approved for all types of wound care except third degree burns, and is used to package donor skin used in skin grafts. There is no topical treatment approved for third degree burns, and so this limitation is not exclusive to glycerin.[17]

Glycerol is used in medical, pharmaceutical and personal care preparations, often as a means of improving smoothness, providing lubrication, and as a humectant.

Ichthyosis and xerosis have been relieved by the topical use of glycerin.[18][19] It is found in allergen immunotherapies, cough syrups, elixirs and expectorants, toothpaste, mouthwashes, skin care products, shaving cream, hair care products, soaps, and water-based personal lubricants. In solid dosage forms like tablets, glycerol is used as a tablet holding agent. For human consumption, glycerol is classified by the U.S. FDA among the sugar alcohols as a caloric macronutrient. Glycerol is also used in blood banking to preserve red blood cells prior to freezing.

Glycerol is a component of glycerin soap. Essential oils are added for fragrance. This kind of soap is used by people with sensitive, easily irritated skin because it prevents skin dryness with its moisturizing properties. It draws moisture up through skin layers and slows or prevents excessive drying and evaporation.

Taken rectally, glycerol functions as a laxative by irritating the anal mucosa and inducing a hyperosmotic effect,[20] expanding the colon by drawing water into it to induce peristalsis resulting in evacuation.[21] It may be administered undiluted either as a suppository or as a small-volume (2–10 ml) enema. Alternatively, it may be administered in a dilute solution, e.g., 5%, as a high volume enema.[22]

Taken orally (often mixed with fruit juice to reduce its sweet taste), glycerol can cause a rapid, temporary decrease in the internal pressure of the eye. This can be useful for the initial emergency treatment of severely elevated eye pressure.[23]

Glycerol has also been incorporated as a component of bio-ink formulations in the field of bioprinting.[24] The glycerol content acts to add viscosity to the bio-ink without adding large protein, carbohydrate, or glycoprotein molecules.

Botanical extracts

When utilized in "tincture" method extractions, specifically as a 10% solution, glycerol prevents tannins from precipitating in ethanol extracts of plants (tinctures). It is also used as an "alcohol-free" alternative to ethanol as a solvent in preparing herbal extractions. It is less extractive when utilized in a standard tincture methodology. Alcohol-based tinctures can also have the alcohol removed and replaced with glycerol for its preserving properties. Such products are not "alcohol-free" in a scientific or FDA regulatory sense, as glycerol contains three hydroxyl groups. Fluid extract manufacturers often extract herbs in hot water before adding glycerol to make glycerites.[25][26]

When used as a primary "true" alcohol-free botanical extraction solvent in non-tincture based methodologies, glycerol has been shown to possess a high degree of extractive versatility for botanicals including removal of numerous constituents and complex compounds, with an extractive power that can rival that of alcohol and water–alcohol solutions.[27] That glycerol possesses such high extractive power assumes it is utilized with dynamic (i.e. critical) methodologies as opposed to standard passive "tincturing" methodologies that are better suited to alcohol. Glycerol possesses the intrinsic property of not denaturing or rendering a botanical's constituents inert like alcohols (i.e. ethyl (grain) alcohol, methyl (wood) alcohol, etc.) do. Glycerol is a stable preserving agent for botanical extracts that, when utilized in proper concentrations in an extraction solvent base, does not allow inverting or mitigates reduction-oxidation (REDOX) of a finished extract's constituents, even over several years. Both glycerol and ethanol are viable preserving agents. Glycerol is bacteriostatic in its action, and ethanol is bactericidal in its action.[28][29][30]

Electronic cigarette liquid

Glycerin is often used in electronic cigarettes to create the vapor

Glycerin, along with propylene glycol, is a common component of e-liquid, a solution used with electronic vaporizers (electronic cigarettes). This glycerol is heated with an atomizer (a heating coil often made of Kanthal wire), producing the aerosol that delivers nicotine to the user.[31]

Antifreeze

Like ethylene glycol and propylene glycol, glycerol is a non-ionic kosmotrope that forms strong hydrogen bonds with water molecules, competing with water-water hydrogen bonds. This interaction disrupts the formation of ice. The minimum freezing point temperature is about −36 °F (−38 °C) corresponding to 70% glycerol in water.

Glycerol was historically used as an anti-freeze for automotive applications before being replaced by ethylene glycol, which has a lower freezing point. While the minimum freezing point of a glycerol-water mixture is higher than an ethylene glycol-water mixture, glycerol is not toxic and is being re-examined for use in automotive applications.[32][33]

In the laboratory, glycerol is a common component of solvents for enzymatic reagents stored at temperatures below 0 °C due to the depression of the freezing temperature. It is also used as a cryoprotectant where the glycerol is dissolved in water to reduce damage by ice crystals to laboratory organisms that are stored in frozen solutions, such as fungi, bacteria, nematodes, and mammalian embryos.

Chemical intermediate

Glycerol is used to produce nitroglycerin, which is an essential ingredient of various explosives such as dynamite, gelignite, and propellants like cordite. Reliance on soap-making to supply co-product glycerol made it difficult to increase production to meet wartime demand. Hence, synthetic glycerol processes were national defense priorities in the days leading up to World War II. Nitroglycerin, also known as glyceryl trinitrate (GTN) is commonly used to relieve angina pectoris, taken in the form of sub-lingual tablets, or as an aerosol spray.

An oxidation of glycerol affords mesoxalic acid.[34] Dehydrating glycerol affords hydroxyacetone.

Vibration damping

Glycerol is used as fill for pressure gauges to damp vibration. External vibrations, from compressors, engines, pumps, etc., produce harmonic vibrations within Bourdon gauges that can cause the needle to move excessively, giving inaccurate readings. The excessive swinging of the needle can also damage internal gears or other components, causing premature wear. Glycerol, when poured into a gauge to replace the air space, reduces the harmonic vibrations that are transmitted to the needle, increasing the lifetime and reliability of the gauge.[35]

Niche uses

Film industry

Glycerol is used by the film industry when filming scenes involving water to stop areas from drying out too quickly.[36]

Glycerine is used—combined with water (around in a 1:99 proportion)—to create a smooth smoky environment. The solution is vaporized and pushed into the room with a ventilator.

Ultrasonic couplant

Glycerol can be sometimes used as replacement for water in ultrasonic testing, as it has favourably higher acoustic impedance (2.42MRayl vs 1.483MRayl for water) while being relatively safe, non-toxic, non-corrosive and relatively low cost.[37]

Internal combustion fuel

Glycerol is also used to power diesel generators supplying electricity for the FIA Formula E series of electric race cars.[38]

Research on uses

Research has been conducted to produce value-added products from glycerol obtained from biodiesel production.[39] Examples (aside from combustion of waste glycerol):

Metabolism

Glycerol is a precursor for synthesis of triacylglycerols and of phospholipids in the liver and adipose tissue. When the body uses stored fat as a source of energy, glycerol and fatty acids are released into the bloodstream.

Glycerol is mainly metabolized in the liver. Glycerol injections can be used as a simple test for liver damage, as its rate of absorption by the liver is considered an accurate measure of liver health. Glycerol metabolization is reduced in both cirrhosis and fatty liver disease.[49][50]

Blood glycerol levels are highly elevated during diabetes, and is believed to be the cause of reduced fertility in patients who suffer from diabetes and metabolic syndrome. Blood glycerol levels in diabetic patients average three times higher than healthy controls. Direct glycerol treatment of testes has been found to cause significant long-term reduction in sperm count. Further testing on this subject was abandoned due to the unexpected results, as this was not the goal of the experiment.[51]

Circulating glycerol does not glycate proteins as do glucose or fructose, and does not lead to the formation of advanced glycation endproducts (AGEs). In some organisms, the glycerol component can enter the glycolysis pathway directly and, thus, provide energy for cellular metabolism (or, potentially, be converted to glucose through gluconeogenesis).

Before glycerol can enter the pathway of glycolysis or gluconeogenesis (depending on physiological conditions), it must be converted to their intermediate glyceraldehyde 3-phosphate in the following steps:

The enzyme glycerol kinase is present mainly in the liver and kidneys, but also in other body tissues, including muscle and brain.[52][53][54] In adipose tissue, glycerol 3-phosphate is obtained from dihydroxyacetone phosphate (DHAP) with the enzyme glycerol-3-phosphate dehydrogenase.

Glycerol has very low toxicity when ingested; its LD50 oral dose for rats is 12600 mg/kg and 8700 mg/kg for mice. It does not appear to cause toxicity when inhaled, although changes in cell maturity occurred in small sections of lung in animals under the highest dose measured. A sub-chronic 90-day nose-only inhalation study in Sprague-Dawley (SD) rats exposed to 0.03, 0.16 and 0.66 mg/L glycerin (Per liter of air) for 6-hour continuous sessions revealed no treatment-related toxicity other than minimal metaplasia of the epithelium lining at the base of the epiglottis in rats exposed to 0.66 mg/L glycerin.[55][56]

Historical cases of contamination with diethylene glycol

On 4 May 2007, the US Food and Drug Administration advised all US makers of medicines to test all batches of glycerol for the toxic diethylene glycol.[57] This followed an occurrence of hundreds of fatal poisonings in Panama resulting from a falsified import customs declaration by Panamanian import/export firm Aduanas Javier de Gracia Express, S. A. The cheaper diethylene glycol was relabeled as the more expensive glycerol.[58][59] Between 1990 and 1998, incidents of DEG poisoning reportedly occurred in Argentina, Bangladesh, India, and Nigeria, and resulted in hundreds of deaths. In 1937, more than one hundred people died in the United States after ingesting DEG-contaminated elixir sulfanilamide, a drug used to treat infections.[60]

Etymology

The origin of the gly- and glu- prefixes for glycols and sugars is from Greek γλυκύς glukus which means sweet.[61]

See also

References

  1. ^ "IUPAC, Commission on Nomenclature of Organic Chemistry".
  2. ^ a b c d e NIOSH Pocket Guide to Chemical Hazards. "#0302". National Institute for Occupational Safety and Health (NIOSH).
  3. ^ "glycerin_msds".
  4. ^ Segur, J. B.; Oberstar, H. E. (1951). "Viscosity of Glycerol and Its Aqueous Solutions". Industrial & Engineering Chemistry. 43 (9): 2117–2120. doi:10.1021/ie50501a040.
  5. ^ Lide, D. R., ed. (1994). CRC Handbook of Data on Organic Compounds (3rd ed.). Boca Raton, FL: CRC Press. p. 4386.
  6. ^ "glycerol - Definition of glycerol in English by Oxford Dictionaries". Oxford Dictionaries - English.
  7. ^ a b c d Christoph, Ralf; Schmidt, Bernd; Steinberner, Udo; Dilla, Wolfgang; Karinen, Reetta (2006). "Glycerol". Ullmann's Encyclopedia of Industrial Chemistry. doi:10.1002/14356007.a12_477.pub2. ISBN 3527306730.
  8. ^ Hirschmann, H. (1 October 1960). "The Nature of Substrate Asymmetry in Stereoselective Reactions". Journal of Biological Chemistry. 235 (10): 2762–2767. PMID 13714619.
  9. ^ "IUPAC-IUB Commission on Biochemical Nomenclature (CBN)". European Journal of Biochemistry. 2 (2): 127–131. 1 September 1967. doi:10.1111/j.1432-1033.1967.tb00116.x. PMID 6078528.
  10. ^ Alfieri A, Imperlini E, Nigro E, Vitucci D, Orrù S, Daniele A, Buono P, Mancini A (2017). "Effects of Plant Oil Interesterified Triacylglycerols on Lipemia and Human Healthy". International Journal of Molecular Sciences. 19 (1): E104. doi:10.3390/ijms19010104. PMC 5796054. PMID 29301208.
  11. ^ Nilles, Dave (2005). "A Glycerin Factor". Biodiesel Magazine.
  12. ^ San Kong, Pei; Kheireddine Aroua, Mohamed; Ashri Wan Daud, Wan Mohd (2016). "Conversion of crude and pure glycerol into derivatives: A feasibility evaluation". Renewable and Sustainable Energy Reviews. 63: 533–555. doi:10.1016/j.rser.2016.05.054.
  13. ^ Sims, Bryan (25 October 2011). "Clearing the way for byproduct quality: why quality for glycerin is just as important for biodiesel". Biodiesel Magazine.
  14. ^ Yu, Bin (2014). "Glycerol". Synlett. 25 (4): 601–602. doi:10.1055/s-0033-1340636.
  15. ^ Gouin, Francis R. (1994). "Preserving flowers and leaves" (PDF). Maryland Cooperative Extension Fact Sheet. 556: 1–6. Retrieved 20 January 2018.
  16. ^ Nikolov, Ivan. "Functional Food Design Rules".
  17. ^ Stout, Edward I.; McKessor, Angie (February 2012). "Glycerin-Based Hydrogel for Infection Control". Advances in Wound Care. 1 (1): 48–51. doi:10.1089/wound.2011.0288. PMC 3839013. PMID 24527279.
  18. ^ Ichthyosis: New Insights for the Healthcare Professional. ScholarlyEditions. 22 July 2013. p. 22. ISBN 9781481659666.
  19. ^ Mark G. Lebwohl, Warren R. Heymann, John Berth-Jones, Ian Coulson (19 September 2017). Treatment of Skin Disease E-Book: Comprehensive Therapeutic Strategies. Elsevier Health Sciences. ISBN 9780702069130.
  20. ^ "Glycerin Enema". Drugs.com. Retrieved 17 November 2012.
  21. ^ "glycerin enema". NCI Drug Dictionary. National Cancer Institute. 2 February 2011. Retrieved 2 May 2019.
  22. ^ E. Bertani, A. Chiappa, R. Biffi, P. P. Bianchi, D. Radice, V. Branchi, S. Spampatti, I. Vetrano, B. Andreoni (2011), "Comparison of oral polyethylene glycol plus a large volume glycerine enema with a large volume glycerine enema alone in patients undergoing colorectal surgery for malignancy: a randomized clinical trial", Colorectal Disease, 13 (10): e327–e334, doi:10.1111/j.1463-1318.2011.02689.x, PMID 21689356, S2CID 32872781
  23. ^ "Glycerin (Oral Route)". Mayo Foundation for Medical Education and Research. Retrieved 17 November 2012.
  24. ^ Atala, Anthony; Yoo, James J.; Carlos Kengla; Ko, In Kap; Lee, Sang Jin; Kang, Hyun-Wook (March 2016). "A 3D bioprinting system to produce human-scale tissue constructs with structural integrity". Nature Biotechnology. 34 (3): 312–319. doi:10.1038/nbt.3413. ISSN 1546-1696. PMID 26878319. S2CID 9073831.
  25. ^ Long, Walter S. (14 January 1916). "The Composition of Commercial Fruit Extracts". Transactions of the Kansas Academy of Science. 28: 157–161. doi:10.2307/3624347. JSTOR 3624347.
  26. ^ Does alcohol belong in herbal tinctures? Archived 12 October 2007 at the Wayback Machine newhope.com
  27. ^ https://www.aciscience.org/docs/Glycerine_-_an_overview.pdf
  28. ^ Lawrie, James W. (1928) Glycerol and the glycols – production, properties and analysis. The Chemical Catalog Company, Inc., New York, NY.
  29. ^ Leffingwell, Georgia and Lesser, Miton (1945) Glycerin – its industrial and commercial applications. Chemical Publishing Co., Brooklyn, NY.
  30. ^ The manufacture of glycerol – Vol. III (1956). The Technical Press, LTD., London, UK.
  31. ^ Dasgupta, Amitava; Klein, Kimberly (2014). "4.2.5 Are Electronic Cigarettes Safe?". Antioxidants in Food, Vitamins and Supplements: Prevention and Treatment of Disease. Academic Press. ISBN 9780124059177. Retrieved 16 August 2017.
  32. ^ Hudgens, R. Douglas; Hercamp, Richard D.; Francis, Jaime; Nyman, Dan A.; Bartoli, Yolanda (2007). "An Evaluation of Glycerin (Glycerol) as a Heavy Duty Engine Antifreeze/Coolant Base". SAE Technical Paper Series. SAE Technical Paper Series. 1. doi:10.4271/2007-01-4000.
  33. ^ Proposed ASTM Engine Coolant Standards Focus on Glycerin. Astmnewsroom.org. Retrieved on 15 August 2012.
  34. ^ Ciriminna, Rosaria; Pagliaro, Mario (2003). "One-Pot Homogeneous and Heterogeneous Oxidation of Glycerol to Ketomalonic Acid Mediated by TEMPO". Advanced Synthesis & Catalysis. 345 (3): 383–388. doi:10.1002/adsc.200390043.
  35. ^ Pneumatic Systems: Principles and Maintenance by S. R. Majumdar -- McGraw-Hill 2006 Page 74
  36. ^ Chemicals in Film. reagent.co.uk
  37. ^ Acoustic Properties for Liquids. nde-ed.org
  38. ^ Formula E uses pollution-free glycerine to charge cars. fiaformulae.com. 13 September 2014
  39. ^ Johnson, Duane T.; Taconi, Katherine A. (2007). "The glycerin glut: Options for the value-added conversion of crude glycerol resulting from biodiesel production". Environmental Progress. 26 (4): 338–348. doi:10.1002/ep.10225.
  40. ^ Marshall, A. T.; Haverkamp, R. G. (2008). "Production of hydrogen by the electrochemical reforming of glycerol-water solutions in a PEM electrolysis cell". International Journal of Hydrogen Energy. 33 (17): 4649–4654. doi:10.1016/j.ijhydene.2008.05.029.
  41. ^ Melero, Juan A.; Van Grieken, Rafael; Morales, Gabriel; Paniagua, Marta (2007). "Acidic mesoporous silica for the acetylation of glycerol: Synthesis of bioadditives to petrol fuel". Energy Fuels. 21 (3): 1782–1791. doi:10.1021/ef060647q.
  42. ^ Özeren, Hüsamettin D.; Olsson, Richard T.; Nilsson, Fritjof; Hedenqvist, Mikael S. (1 February 2020). "Prediction of plasticization in a real biopolymer system (starch) using molecular dynamics simulations". Materials & Design. 187: 108387. doi:10.1016/j.matdes.2019.108387. ISSN 0264-1275.
  43. ^ Özeren, Hüsamettin Deniz; Guivier, Manon; Olsson, Richard T.; Nilsson, Fritjof; Hedenqvist, Mikael S. (7 April 2020). "Ranking Plasticizers for Polymers with Atomistic Simulations; PVT, Mechanical Properties and the Role of Hydrogen Bonding in Thermoplastic Starch". ACS Applied Polymer Materials. 2 (5): 2016–2026. doi:10.1021/acsapm.0c00191.
  44. ^ "Dow achieves another major milestone in its quest for sustainable chemistries" (Press release). Dow Chemical Company. 15 March 2007. Archived from the original on 16 September 2009. Retrieved 13 July 2007.
  45. ^ Ott, L.; Bicker, M.; Vogel, H. (2006). "The catalytic dehydration of glycerol in sub- and supercritical water: a new chemical process for acrolein production". Green Chemistry. 8 (2): 214–220. doi:10.1039/b506285c.
  46. ^ Watanabe, Masaru; Iida, Toru; Aizawa, Yuichi; Aida, Taku M.; Inomata, Hiroshi (2007). "Acrolein synthesis from glycerol in hot-compressed water". Bioresource Technology. 98 (6): 1285–1290. doi:10.1016/j.biortech.2006.05.007. PMID 16797980.
  47. ^ Yazdani, S. S.; Gonzalez, R. (2007). "Anaerobic fermentation of glycerol: a path to economic viability for the biofuels industry". Current Opinion in Biotechnology. 18 (3): 213–219. doi:10.1016/j.copbio.2007.05.002. PMID 17532205. Lay summaryScienceDaily (27 June 2007).
  48. ^ "Dow Epoxy advances glycerine-to-epichlorohydrin and liquid epoxy resins projects by choosing Shanghai site" (Press release). Dow Chemical Company. 26 March 2007.
  49. ^ Glycerol clearance in alcoholic liver disease. Gut (British Society of Gastroenterology). 1982 Apr; 23(4): 257–264. D G Johnston, K G Alberti, R Wright, P G Blain
  50. ^ Fatty liver disrupts glycerol metabolism in gluconeogenic and lipogenic pathways in humans. September 2018 The Journal of Lipid Research, 59, 1685-1694. Jeffrey D. Browning, Eunsook S. Jin1, Rebecca E. Murphy, and Craig R. Malloy
  51. ^ Molecular Human Reproduction, Volume 23, Issue 11, November 2017, Pages 725–737
  52. ^ Tildon, J. T.; Stevenson Jr, J. H.; Ozand, P. T. (1976). "Mitochondrial glycerol kinase activity in rat brain". The Biochemical Journal. 157 (2): 513–6. doi:10.1042/bj1570513. PMC 1163884. PMID 183753.
  53. ^ Newsholme, E. A.; Taylor, K (May 1969). "Glycerol kinase activities in muscles from vertebrates and invertebrates". Biochem. J. 112 (4): 465–74. doi:10.1042/bj1120465. PMC 1187734. PMID 5801671.
  54. ^ Jenkins, BT, Hajra, AK (1976). "Glycerol Kinase and Dihydroxyacetone Kinase in Rat Brain" (PDF). Journal of Neurochemistry. 26 (2): 377–385. doi:10.1111/j.1471-4159.1976.tb04491.x. hdl:2027.42/65297. PMID 3631. S2CID 14965948.
  55. ^ Phillips, Blaine; Titz, Bjoern; Kogel, Ulrike; Sharma, Danilal; Leroy, Patrice; Xiang, Yang; Vuillaume, Grégory; Lebrun, Stefan; Sciuscio, Davide; Ho, Jenny; Nury, Catherine; Guedj, Emmanuel; Elamin, Ashraf; Esposito, Marco; Krishnan, Subash; Schlage, Walter K.; Veljkovic, Emilija; Ivanov, Nikolai V.; Martin, Florian; Peitsch, Manuel C.; Hoeng, Julia; Vanscheeuwijck, Patrick (2017). "Toxicity of the main electronic cigarette components, propylene glycol, glycerin, and nicotine, in Sprague-Dawley rats in a 90-day OECD inhalation study complemented by molecular endpoints". Food and Chemical Toxicology. 109 (Pt 1): 315–332. doi:10.1016/j.fct.2017.09.001. PMID 28882640.
  56. ^ RenneBattelle, R. A.; Wehner, A. P.; Greenspan, B. J.; Deford, H. S.; Ragan, H. A.; Westerberg, R. B. (1992). "2-Week and 13-Week Inhalation Studies of Aerosolized Glycerol in Rats". International Forum for Respiratory Research. 4 (2): 95–111. doi:10.3109/08958379209145307.
  57. ^ "FDA Advises Manufacturers to Test Glycerin for Possible Contamination". U.S. Food and Drug Administration. 4 May 2007. Retrieved 8 May 2007.
  58. ^ Walt Bogdanich (6 May 2007). "From China to Panama, a Trail of Poisoned Medicine". The New York Times. Retrieved 8 May 2007.
  59. ^ "10 Biggest Medical Scandals in History". 20 February 2013.
  60. ^ Lang, Les (1 July 2007). "FDA Issues Statement on Diethylene Glycol and Melamine Food Contamination". Gastroenterology. 133 (1): 5–6. doi:10.1053/j.gastro.2007.05.013. ISSN 0016-5085.
  61. ^ glyco-, dictionary.com

External links

This article is copied from an article on Wikipedia® - the free encyclopedia created and edited by its online user community. The text was not checked or edited by anyone on our staff. Although the vast majority of Wikipedia® encyclopedia articles provide accurate and timely information, please do not assume the accuracy of any particular article. This article is distributed under the terms of GNU Free Documentation License.

Copyright © 2003-2025 Farlex, Inc Disclaimer
All content on this website, including dictionary, thesaurus, literature, geography, and other reference data is for informational purposes only. This information should not be considered complete, up to date, and is not intended to be used in place of a visit, consultation, or advice of a legal, medical, or any other professional.