| Francis Crick | |
|---|---|
Francis Crick | |
| Born | Francis Harry Compton Crick 8 June 1916 Weston Favell, Northamptonshire, England, UK |
| Died | 28 July 2004 (aged 88) San Diego, California, U.S. Colon cancer |
| Residence | UK, U.S. |
| Nationality | British |
| Fields | Physics Molecular biology |
| Institutions | University of Cambridge University College London Salk Institute for Biological Studies |
| Alma mater | University College London (BSc) Gonville and Caius College, Cambridge (PhD) |
| Thesis | Polypeptides and proteins: X-ray studies (1954) |
| Doctoral advisor | Max Perutz |
| Known for | DNA structure |
| Notable awards | Nobel Prize (1962) |
| Signature | |
| Website | |
| www.crick.ac.uk/about-us/francis-crick | |
Francis Harry Compton Crick, OM, FRS (8 June 1916 – 28 July 2004) was an English molecular biologist, biophysicist, and neuroscientist, most noted for being a co-discoverer of the structure of the DNA molecule in 1953 with James D. Watson. He, Watson, and Maurice Wilkins were jointly awarded the 1962 Nobel Prize for Physiology or Medicine "for their discoveries concerning the molecular structure of nucleic acids and its significance for information transfer in living material".[1][2] Nonetheless, the high quality images of the DNA molecule that made these discoveries possible were achieved by Rosalind Franklin, used by Wilkins without her permission.
Crick was an important theoretical molecular biologist and played a crucial role in research related to revealing the genetic code. He is widely known for use of the term "central dogma" to summarize an idea that genetic information flow in cells is essentially one-way, from DNA to RNA to protein.[3]
During the remainder of his career, he held the post of J.W. Kieckhefer Distinguished Research Professor at the Salk Institute for Biological Studies in La Jolla, California. His later research centered on theoretical neurobiology and attempts to advance the scientific study of human consciousness. He remained in this post until his death; "he was editing a manuscript on his death bed, a scientist until the bitter end" according to Christof Koch.[4]
Early life and education
Crick was the first son of Harry Crick (1887–1948) and Annie Elizabeth Crick (née Wilkins; 1879–1955). He was born and raised between Abington Park and Weston Favell, then a small village near the English town of Northampton, in which Crick’s father and uncle ran the family’s boot and shoe factory. His grandfather, Walter Drawbridge Crick (1857–1903), an amateur naturalist, wrote a survey of local foraminifera (single-celled protists with shells), corresponded with Charles Darwin,[5] and had two gastropods (snails or slugs) named after him.
At an early age, Francis was attracted to science and what he could learn about it from books. As a child, he was taken to church by his parents. But by about age 12, he said he did not want to go anymore, as he preferred a scientific search for answers over religious belief.[6]
His uncle, Walter Crick, lived in a small house on the south side of Abington Avenue; he had a shed at the bottom of his little garden where he taught Crick to blow glass, do chemical experiments and to make photographic prints. When he was eight or nine he transferred to the most junior form of the Northampton Grammar School, on the Billing Road. This was about 1 1/4 miles from his home so he could walk there and back, by Park Avenue South and Abington Park Crescent, but he more often went by bus or, later, by bicycle. The teacher – a Miss Holding – was an inspired teacher and made everything interesting. The teaching in the higher forms was satisfactory, but not as stimulating. After the age of 14, he was educated at Mill Hill School in London (on scholarship), where he studied mathematics, physics, and chemistry with his best friend John Shilston. He shared the Walter Knox Prize for Chemistry on Mill Hill School's Foundation Day, Friday, 7 July 1933. He declared that his success was inspired by the quality of teaching he received whilst a pupil at Mill Hill.
At the age of 21, Crick earned a B.Sc. degree in physics from University College London.[7] Crick had failed to gain a place at a Cambridge college, probably through failing their requirement for Latin. Crick later became a PhD student and Honorary Fellow of Gonville and Caius College and mainly worked at the Cavendish Laboratory and the Medical Research Council (MRC) Laboratory of Molecular Biology in Cambridge. He was also an Honorary Fellow of Churchill College and of University College, London.
Crick began a Ph.D. research project on measuring viscosity of water at high temperatures (which he later described as "the dullest problem imaginable"[8]) in the laboratory of physicist Edward Neville da Costa Andrade at University College, London, but with the outbreak of World War II (in particular, an incident during the Battle of Britain when a bomb fell through the roof of the laboratory and destroyed his experimental apparatus),[9] Crick was deflected from a possible career in physics. During his second year as a PhD student, however, he was awarded the Carey Foster Research Prize, a great honor.[10]
During World War II, he worked for the Admiralty Research Laboratory, from which emerged a group of many notable scientists, including David Bates, Robert Boyd, George Deacon, John Gunn, Harrie Massey, and Nevill Mott; he worked on the design of magnetic and acoustic mines, and was instrumental in designing a new mine that was effective against German minesweepers.[11]
Post-World War II
In 1947, Crick began studying biology and became part of an important migration of physical scientists into biology research. This migration was made possible by the newly won influence of physicists such as Sir John Randall, who had helped win the war with inventions such as radar. Crick had to adjust from the "elegance and deep simplicity" of physics to the "elaborate chemical mechanisms that natural selection had evolved over billions of years." He described this transition as, "almost as if one had to be born again." According to Crick, the experience of learning physics had taught him something important—hubris—and the conviction that since physics was already a success, great advances should also be possible in other sciences such as biology. Crick felt that this attitude encouraged him to be more daring than typical biologists who tended to concern themselves with the daunting problems of biology and not the past successes of physics.
For the better part of two years, Crick worked on the physical properties of cytoplasm at Cambridge's Strangeways Laboratory, headed by Honor Bridget Fell, with a Medical Research Council studentship, until he joined Max Perutz and John Kendrew at the Cavendish Laboratory. The Cavendish Laboratory at Cambridge was under the general direction of Sir Lawrence Bragg, who had won the Nobel Prize in 1915 at the age of 25. Bragg was influential in the effort to beat a leading American chemist, Linus Pauling, to the discovery of DNA's structure (after having been 'pipped-at-the-post' by Pauling's success in determining the alpha helix structure of proteins). At the same time Bragg's Cavendish Laboratory was also effectively competing with King's College London, whose Biophysics department was under the direction of Sir John Randall. (Randall had turned down Francis Crick from working at King's College.) Francis Crick and Maurice Wilkins of King's College were personal friends, which influenced subsequent scientific events as much as the close friendship between Crick and James Watson. Crick and Wilkins first met at King's College[citation needed] and not, as erroneously recorded by two authors, at the Admiralty during World War II.
He married twice, fathered three children and was the grandfather of six grandchildren; his brother Anthony (born in 1918) predeceased him in 1966.[12]
Spouses:
- Ruth Doreen Crick, née Dodd (b. 1913, m. 18 February 1940 – 8 May 1947), now Mrs. James Stewart Potter
- Odile Crick, née Speed (b. 11 August 1920, m. 14 August 1949 – 28 July 2004, d. 5 July 2007)
Children:
- Michael Francis Compton (b. 25 November 1940) [by Doreen Crick]
- Gabrielle Anne (b. 15 July 1951) and Jacqueline Marie-Therese [later Nichols] (b. 12 March 1954, d. 28 February 2011) [by Odile Crick];
Grandchildren
- Alexander (b. March 1974)
- Kindra (b. May 1976)
- Camberley (b. June 1978)
- Francis (b. February 1981), Michael & Barbara Crick's children
- Mark & Nicholas, the late Jacqueline and Christopher Nichols' children.[13]
Death
Crick died of colon cancer on 28 July 2004 at the University of California San Diego (UCSD) Thornton Hospital in La Jolla; he was cremated and his ashes were scattered into the Pacific Ocean. A public memorial was held on 27 September 2004 at the Salk Institute, La Jolla, near San Diego, California; guest speakers included James D. Watson, Sydney Brenner, Alex Rich, Seymour Benzer, Aaron Klug, Christof Koch, Pat Churchland, Vilayanur Ramachandran, Tomaso Poggio, Leslie Orgel, Terry Sejnowski, his son Michael Crick, and his youngest daughter Jacqueline Nichols.[14] A private memorial for family and colleagues was held on 3 August 2004.
Research
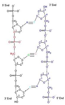
| Double Helix
|
Crick was interested in two fundamental unsolved problems of biology: how molecules make the transition from the non-living to the living, and how the brain makes a conscious mind.[15] He realized that his background made him more qualified for research on the first topic and the field of biophysics. It was at this time of Crick’s transition from physics to biology that he was influenced by both Linus Pauling and Erwin Schrödinger.[16] It was clear in theory that covalent bonds in biological molecules could provide the structural stability needed to hold genetic information in cells. It only remained as an exercise of experimental biology to discover exactly which molecule was the genetic molecule.[17][18] In Crick’s view, Charles Darwin’s theory of evolution by natural selection, Gregor Mendel’s genetics and knowledge of the molecular basis of genetics, when combined, revealed the secret of life.[19] Crick had the very optimistic view that life would very soon be created in a test tube. However, some people (such as fellow researcher and colleague Esther Lederberg) thought that Crick's views were overly optimistic [20]
It was clear that some macromolecule such as a protein was likely to be the genetic molecule.[21] However, it was well known that proteins are structural and functional macromolecules, some of which carry out enzymatic reactions of cells.[21] In the 1940s, some evidence had been found pointing to another macromolecule, DNA, the other major component of chromosomes, as a candidate genetic molecule. In the 1944 Avery-MacLeod-McCarty experiment, Oswald Avery and his collaborators showed that a heritable phenotypic difference could be caused in bacteria by providing them with a particular DNA molecule.[18]
However, other evidence was interpreted as suggesting that DNA was structurally uninteresting and possibly just a molecular scaffold for the apparently more interesting protein molecules.[22] Crick was in the right place, in the right frame of mind, at the right time (1949), to join Max Perutz’s project at Cambridge University, and he began to work on the X-ray crystallography of proteins.[23] X-ray crystallography theoretically offered the opportunity to reveal the molecular structure of large molecules like proteins and DNA, but there were serious technical problems then preventing X-ray crystallography from being applicable to such large molecules.[23]
1949–1950
Crick taught himself the mathematical theory of X-ray crystallography.[24] During the period of Crick's study of X-ray diffraction, researchers in the Cambridge lab were attempting to determine the most stable helical conformation of amino acid chains in proteins (the α helix). Linus Pauling was the first to identify[25] the 3.6 amino acids per helix turn ratio of the α helix. Crick was witness to the kinds of errors that his co-workers made in their failed attempts to make a correct molecular model of the α helix; these turned out to be important lessons that could be applied, in the future, to the helical structure of DNA. For example, he learned[26] the importance of the structural rigidity that double bonds confer on molecular structures which is relevant both to peptide bonds in proteins and the structure of nucleotides in DNA.
1951–1953: DNA structure
In 1951, together with William Cochran and Vladimir Vand, Crick assisted in the development of a mathematical theory of X-ray diffraction by a helical molecule.[27] This theoretical result matched well with X-ray data for proteins that contain sequences of amino acids in the Alpha helix conformation.[28] Helical diffraction theory turned out to also be useful for understanding the structure of DNA.
Late in 1951, Crick started working with James D. Watson at Cavendish Laboratory at the University of Cambridge, England. Using "Photo 51" (the X-ray diffraction results of Rosalind Franklin and her graduate student Raymond Gosling of King's College London, given to them by Gosling and Franklin's colleague Maurice Wilkins), Watson and Crick together developed a model for a helical structure of DNA, which they published in 1953.[29] For this and subsequent work they were jointly awarded the Nobel Prize in Physiology or Medicine in 1962 with Maurice Wilkins.[30]
When James Watson came to Cambridge, Crick was a 35-year-old graduate student (due to his work during WWII) and Watson was only 23, but he already had a Ph.D. They shared an interest in the fundamental problem of learning how genetic information might be stored in molecular form.[31][32] Watson and Crick talked endlessly about DNA and the idea that it might be possible to guess a good molecular model of its structure.[17] A key piece of experimentally-derived information came from X-ray diffraction images that had been obtained by Maurice Wilkins, Rosalind Franklin, and their research student, Raymond Gosling. In November 1951, Wilkins came to Cambridge and shared his data with Watson and Crick. Alexander Stokes (another expert in helical diffraction theory) and Wilkins (both at King's College) had reached the conclusion that X-ray diffraction data for DNA indicated that the molecule had a helical structure—but Franklin vehemently disputed this conclusion. Stimulated by their discussions with Wilkins and what Watson learned by attending a talk given by Franklin about her work on DNA, Crick and Watson produced and showed off an erroneous first model of DNA. Their hurry to produce a model of DNA structure was driven in part by the knowledge that they were competing against Linus Pauling. Given Pauling's recent success in discovering the Alpha helix, they feared that Pauling might also be the first to determine the structure of DNA.[33]
Many have speculated about what might have happened had Pauling been able to travel to Britain as planned in May 1952.[34] As it was, his political activities caused his travel to be restricted by the U. S. government and he did not visit the UK until later, at which point he met none of the DNA researchers in England. At any rate he was preoccupied with proteins at the time, not DNA.[34][35] Watson and Crick were not officially working on DNA. Crick was writing his Ph.D. thesis; Watson also had other work such as trying to obtain crystals of myoglobin for X-ray diffraction experiments. In 1952, Watson did X-ray diffraction on tobacco mosaic virus and found results indicating that it had helical structure. Having failed once, Watson and Crick were now somewhat reluctant to try again and for a while they were forbidden to make further efforts to find a molecular model of DNA.
Of great importance to the model building effort of Watson and Crick was Rosalind Franklin's understanding of basic chemistry, which indicated that the hydrophilic phosphate-containing backbones of the nucleotide chains of DNA should be positioned so as to interact with water molecules on the outside of the molecule while the hydrophobic bases should be packed into the core. Franklin shared this chemical knowledge with Watson and Crick when she pointed out to them that their first model (from 1951, with the phosphates inside) was obviously wrong.
Crick described what he saw as the failure of Maurice Wilkins and Rosalind Franklin to cooperate and work towards finding a molecular model of DNA as a major reason why he and Watson eventually made a second attempt to do so. They asked for, and received, permission to do so from both William Lawrence Bragg and Wilkins. In order to construct their model of DNA, Watson and Crick made use of information from unpublished X-ray diffraction images of Franklin's (shown at meetings and freely shared by Wilkins), including preliminary accounts of Franklin's results/photographs of the X-ray images that were included in a written progress report for the King's College laboratory of Sir John Randall from late 1952.
It is a matter of debate whether Watson and Crick should have had access to Franklin's results without her knowledge or permission, and before she had a chance to formally publish the results of her detailed analysis of her X-ray diffraction data which were included in the progress report. However, Watson and Crick found fault in her steadfast assertion that, according to her data, a helical structure was not the only possible shape for DNA—so they had a dilemma. In an effort to clarify this issue, Max Ferdinand Perutz later published what had been in the progress report,[36] and suggested that nothing was in the report that Franklin herself had not said in her talk (attended by Watson) in late 1951. Further, Perutz explained that the report was to a Medical Research Council (MRC) committee that had been created in order to "establish contact between the different groups of people working for the Council". Randall's and Perutz's laboratories were both funded by the MRC.
It is also not clear how important Franklin's unpublished results from the progress report actually were for the model-building done by Watson and Crick. After the first crude X-ray diffraction images of DNA were collected in the 1930s, William Astbury had talked about stacks of nucleotides spaced at 3.4 angström (0.34 nanometre) intervals in DNA. A citation to Astbury's earlier X-ray diffraction work was one of only eight references in Franklin's first paper on DNA.[37] Analysis of Astbury's published DNA results and the better X-ray diffraction images collected by Wilkins and Franklin revealed the helical nature of DNA. It was possible to predict the number of bases stacked within a single turn of the DNA helix (10 per turn; a full turn of the helix is 27 angströms [2.7 nm] in the compact A form, 34 angströms [3.4 nm] in the wetter B form). Wilkins shared this information about the B form of DNA with Crick and Watson. Crick did not see Franklin's B form X-ray images (Photo 51) until after the DNA double helix model was published.[38]
One of the few references cited by Watson and Crick when they published their model of DNA was to a published article that included Sven Furberg's DNA model that had the bases on the inside. Thus, the Watson and Crick model was not the first "bases in" model to be proposed. Furberg's results had also provided the correct orientation of the DNA sugars with respect to the bases. During their model building, Crick and Watson learned that an antiparallel orientation of the two nucleotide chain backbones worked best to orient the base pairs in the centre of a double helix. Crick's access to Franklin's progress report of late 1952 is what made Crick confident that DNA was a double helix with antiparallel chains, but there were other chains of reasoning and sources of information that also led to these conclusions.[39]
As a result of leaving King's College for another institution, Franklin was asked by John Randall to give up her work on DNA. When it became clear to Wilkins and the supervisors of Watson and Crick that Franklin was going to the new job, and that Linus Pauling was working on the structure of DNA, they were willing to share Franklin's data with Watson and Crick, in the hope that they could find a good model of DNA before Pauling was able. Franklin's X-ray diffraction data for DNA and her systematic analysis of DNA's structural features was useful to Watson and Crick in guiding them towards a correct molecular model. The key problem for Watson and Crick, which could not be resolved by the data from King's College, was to guess how the nucleotide bases pack into the core of the DNA double helix.
Another key to finding the correct structure of DNA was the so-called Chargaff ratios, experimentally determined ratios of the nucleotide subunits of DNA: the amount of guanine is equal to cytosine and the amount of adenine is equal to thymine. A visit by Erwin Chargaff to England in 1952 reinforced the salience of this important fact for Watson and Crick.[40] The significance of these ratios for the structure of DNA were not recognized until Watson, persisting in building structural models, realized that A:T and C:G pairs are structurally similar. In particular, the length of each base pair is the same. Chargaff had also pointed out to Watson that, in the aqueous, saline environment of the cell, the predominant tautomers of the pyrimidine (C and T) bases would be the amine and keto configurations of cytosine and thymine, rather than the imino and enol forms that Crick and Watson had assumed. They consulted Jerry Donohue who confirmed the most likely structures of the nucleotide bases.[41] The base pairs are held together by hydrogen bonds, the same non-covalent interaction that stabilize the protein α-helix. The correct structures were essential for the positioning of the hydrogen bonds. These insights led Watson to deduce the true biological relationships of the A:T and C:G pairs. After the discovery of the hydrogen bonded A:T and C:G pairs, Watson and Crick soon had their anti-parallel, double helical model of DNA, with the hydrogen bonds at the core of the helix providing a way to "unzip" the two complementary strands for easy replication: the last key requirement for a likely model of the genetic molecule. As important as Crick's contributions to the discovery of the double helical DNA model were, he stated that without the chance to collaborate with Watson, he would not have found the structure by himself.[42]
Crick did tentatively attempt to perform some experiments on nucleotide base pairing, but he was more of a theoretical biologist than an experimental biologist. There was another near-discovery of the base pairing rules in early 1952. Crick had started to think about interactions between the bases. He asked John Griffith to try to calculate attractive interactions between the DNA bases from chemical principles and quantum mechanics. Griffith's best guess was that A:T and G:C were attractive pairs. At that time, Crick was not aware of Chargaff's rules and he made little of Griffith's calculations, although it did start him thinking about complementary replication. Identification of the correct base-pairing rules (A-T, G-C) was achieved by Watson "playing" with cardboard cut-out models of the nucleotide bases, much in the manner that Linus Pauling had discovered the protein alpha helix a few years earlier. The Watson and Crick discovery of the DNA double helix structure was made possible by their willingness to combine theory, modeling and experimental results (albeit mostly done by others) to achieve their goal.
The DNA double helix structure proposed by Watson and Crick was based upon "Watson-Crick" bonds between the four bases most frequently found in DNA (A, C, T, G) and RNA (A, C, U, G). However, later research showed that triple-stranded, quadruple-stranded and other more complex DNA molecular structures required Hoogsteen base pairing. In addition, the entire field of synthetic biology began with researchers such as Erik T. Kool, where bases other than A, C, T and G are used in a synthetic DNA. In addition to synthetic DNA there are also attempts to construct synthetic codons, synthetic endonucleases, synthetic proteins and synthetic zinc fingers. Using synthetic DNA, instead of there being 43 codons, if there are n new bases there could be as many as n3 codons. Research is currently being done to see if codons can be expanded to more than 3 bases. These new codons can code for new amino acids. These synthetic molecules can be used not only in medicine, but in creation of new materials.[43]
The discovery was made on 28 February 1953; the first Watson/Crick paper appeared in Nature on 25 April 1953. Sir Lawrence Bragg, the director of the Cavendish Laboratory, where Watson and Crick worked, gave a talk at Guy's Hospital Medical School in London on Thursday 14 May 1953 which resulted in an article by Ritchie Calder in The News Chronicle of London, on Friday 15 May 1953, entitled "Why You Are You. Nearer Secret of Life." The news reached readers of The New York Times the next day; Victor K. McElheny, in researching his biography, "Watson and DNA: Making a Scientific Revolution", found a clipping of a six-paragraph New York Times article written from London and dated 16 May 1953 with the headline "Form of `Life Unit' in Cell Is Scanned." The article ran in an early edition and was then pulled to make space for news deemed more important. (The New York Times subsequently ran a longer article on 12 June 1953). The Cambridge University undergraduate newspaper Varsity also ran its own short article on the discovery on Saturday 30 May 1953. Bragg's original announcement of the discovery at a Solvay conference on proteins in Belgium on 8 April 1953 went unreported by the British press.
In a seven-page, handwritten letter[44] to his son at a British boarding school on 19 March 1953 Crick explained his discovery, beginning the letter "My Dear Michael, Jim Watson and I have probably made a most important discovery...".[45] The letter was put up for auction at Christie's New York on 10 April 2013 with an estimate of $1 to $2 million, eventually selling for $6,059,750, the largest amount ever paid for a letter at auction.[46]
Sydney Brenner, Jack Dunitz, Dorothy Hodgkin, Leslie Orgel, and Beryl M. Oughton, were some of the first people in April 1953 to see the model of the structure of DNA, constructed by Crick and Watson; at the time they were working at Oxford University's Chemistry Department. All were impressed by the new DNA model, especially Brenner who subsequently worked with Crick at Cambridge in the Cavendish Laboratory and the new Laboratory of Molecular Biology. According to the late Dr. Beryl Oughton, later Rimmer, they all travelled together in two cars once Dorothy Hodgkin announced to them that they were off to Cambridge to see the model of the structure of DNA.[47] Orgel also later worked with Crick at the Salk Institute for Biological Studies.
Molecular biology
In 1954, at the age of 37, Crick completed his Ph.D. thesis: "X-Ray Diffraction: Polypeptides and Proteins" and received his degree. Crick then worked in the laboratory of David Harker at Brooklyn Polytechnic Institute, where he continued to develop his skills in the analysis of X-ray diffraction data for proteins, working primarily on ribonuclease and the mechanisms of protein synthesis. David Harker, the American X-ray crystallographer, was described as "the John Wayne of crystallography" by Vittorio Luzzati, a crystallographer at the Centre for Molecular Genetics in Gif-sur-Yvette near Paris, who had worked with Rosalind Franklin.
After the discovery of the double helix model of DNA, Crick's interests quickly turned to the biological implications of the structure. In 1953, Watson and Crick published another article in Nature which stated: "it therefore seems likely that the precise sequence of the bases is the code that carries the genetical information".[48]
In 1956, Crick and Watson speculated on the structure of small viruses. They suggested that spherical viruses such as Tomato bushy stunt virus had icosahedral symmetry and were made from 60 identical subunits.[49]
After his short time in New York, Crick returned to Cambridge where he worked until 1976, at which time he moved to California. Crick engaged in several X-ray diffraction collaborations such as one with Alexander Rich on the structure of collagen.[50] However, Crick was quickly drifting away from continued work related to his expertise in the interpretation of X-ray diffraction patterns of proteins.
George Gamow established a group of scientists interested in the role of RNA as an intermediary between DNA as the genetic storage molecule in the nucleus of cells and the synthesis of proteins in the cytoplasm (the RNA Tie Club). It was clear to Crick that there had to be a code by which a short sequence of nucleotides would specify a particular amino acid in a newly synthesized protein. In 1956, Crick wrote an informal paper about the genetic coding problem for the small group of scientists in Gamow's RNA group.[51] In this article, Crick reviewed the evidence supporting the idea that there was a common set of about 20 amino acids used to synthesize proteins. Crick proposed that there was a corresponding set of small "adaptor molecules" that would hydrogen bond to short sequences of a nucleic acid, and also link to one of the amino acids. He also explored the many theoretical possibilities by which short nucleic acid sequences might code for the 20 amino acids.
During the mid-to-late 1950s Crick was very much intellectually engaged in sorting out the mystery of how proteins are synthesized. By 1958, Crick's thinking had matured and he could list in an orderly way all of the key features of the protein synthesis process:[52]
- genetic information stored in the sequence of DNA molecules
- a "messenger" RNA molecule to carry the instructions for making one protein to the cytoplasm
- adaptor molecules ("they might contain nucleotides") to match short sequences of nucleotides in the RNA messenger molecules to specific amino acids
- ribonucleic-protein complexes that catalyse the assembly of amino acids into proteins according to the messenger RNA
The adaptor molecules were eventually shown to be tRNAs and the catalytic "ribonucleic-protein complexes" became known as ribosomes. An important step was later realization (in 1960) that the messenger RNA was not the same as the ribosomal RNA. None of this, however, answered the fundamental theoretical question of the exact nature of the genetic code. In his 1958 article, Crick speculated, as had others, that a triplet of nucleotides could code for an amino acid. Such a code might be "degenerate", with 4×4×4=64 possible triplets of the four nucleotide subunits while there were only 20 amino acids. Some amino acids might have multiple triplet codes. Crick also explored other codes in which, for various reasons, only some of the triplets were used, "magically" producing just the 20 needed combinations. Experimental results were needed; theory alone could not decide the nature of the code. Crick also used the term "central dogma" to summarize an idea that implies that genetic information flow between macromolecules would be essentially one-way:
- DNA → RNA → Protein
Some critics thought that by using the word "dogma", Crick was implying that this was a rule that could not be questioned, but all he really meant was that it was a compelling idea without much solid evidence to support it. In his thinking about the biological processes linking DNA genes to proteins, Crick made explicit the distinction between the materials involved, the energy required, and the information flow. Crick was focused on this third component (information) and it became the organizing principle of what became known as molecular biology. Crick had by this time become a highly influential theoretical molecular biologist.
Proof that the genetic code is a degenerate triplet code finally came from genetics experiments, some of which were performed by Crick.[53] The details of the code came mostly from work by Marshall Nirenberg and others who synthesized synthetic RNA molecules and used them as templates for in vitro protein synthesis.[54]
Controversy
A controversy has been generated by some because of Crick and Watson's use of DNA X-ray diffraction data collected by Rosalind Franklin and her student Raymond Gosling. At the time she had been employed by Wilkins to use her crystallography skills to obtain better images for his DNA work to which end he provided her with his crystalline DNA. As is not unusual among scientists, Wilkins after examining the data shared it with Max Perutz,[55] who was also working at the Cavendish Lab at Cambridge where Crick and Watson were based. Her experimental results provided estimates of the water content of DNA crystals, and these results were most consistent with the three sugar-phosphate backbones being on the outside of the molecule.[56] Franklin's X-Ray photograph showed that the backbones had to be on the outside; however, she insisted vehemently that her data did not force one to conclude that DNA has a helical structure. Her identification of the space group for DNA crystals revealed to Crick that the DNA strands were antiparallel, which helped Watson and Crick decide to look for DNA models with two antiparallel polynucleotide strands. The X-ray diffraction images collected by Franklin provided the best evidence for the helical nature of DNA. While Franklin's experimental work proved important to Crick and Watson's development of the correct model, she herself could not realize its significance at the time and abandoned the DNA field leaving it behind at Wilkins' King's College lab when she moved to J. D. Bernal's Lab at Birkbeck College to do superb work with the tobacco mosaic virus extending ideas on helical construction.
Prior to publication of the double helix structure, Crick and Watson had little interaction with Franklin. Crick and Watson felt that they had benefited from collaborating with Maurice Wilkins. They offered him a co-authorship on the article that first described the double helix structure of DNA. Wilkins turned down the offer, and was in part responsible for the terse character of the acknowledgment of experimental work done at King's College London. Rather than make any of the DNA researchers at King's College co-authors on the Watson and Crick double helix article, the solution was to publish two additional papers from King's College along with the helix paper. Brenda Maddox suggested that because of the importance of her experimental results in Watson and Crick's model building and theoretical analysis, Franklin should have had her name on the original Watson and Crick paper in Nature.[57] Franklin and Gosling submitted their own joint 'second' paper to Nature at the same time as Wilkins, Stokes, and Wilson submitted theirs (i.e. the 'third' paper on DNA).
Views on religion
Crick once joked, "Christianity may be OK between consenting adults in private but should not be taught to young children."[58]
In his book Of Molecules and Men, Crick expressed his views on the relationship between science and religion.[59] After suggesting that it would become possible for people to wonder if a computer might be programmed so as to have a soul, he wondered: at what point during biological evolution did the first organism have a soul? At what moment does a baby get a soul? Crick stated his view that the idea of a non-material soul that could enter a body and then persist after death is just that, an imagined idea. For Crick, the mind is a product of physical brain activity and the brain had evolved by natural means over millions of years. Crick felt that it was important that evolution by natural selection be taught in schools and that it was regrettable that English schools had compulsory religious instruction. Crick felt that a new scientific world view was rapidly being established, and predicted that once the detailed workings of the brain were eventually revealed, erroneous Christian concepts about the nature of humans and the world would no longer be tenable; traditional conceptions of the "soul" would be replaced by a new understanding of the physical basis of mind. He was sceptical of organized religion, referring to himself as a skeptic and an agnostic with "a strong inclination towards atheism".[60]
In 1960, Crick accepted an honorary fellowship at Churchill College, Cambridge, one factor being that the new college did not have a chapel. Sometime later, a large donation was made to establish a chapel and the fellowship elected to accept it. Crick resigned his fellowship in protest.[61]
In October 1969, Crick participated in a celebration of the 100th year of the journal Nature. Crick attempted to make some predictions about what the next 30 years would hold for molecular biology. His speculations were later published in Nature.[62] Near the end of the article, Crick briefly mentioned the search for life on other planets, but he held little hope that extraterrestrial life would be found by the year 2000. He also discussed what he described as a possible new direction for research, what he called "biochemical theology". Crick wrote, "So many people pray that one finds it hard to believe that they do not get some satisfaction from it".[62]
Crick suggested that it might be possible to find chemical changes in the brain that were molecular correlates of the act of prayer. He speculated that there might be a detectable change in the level of some neurotransmitter or neurohormone when people pray. Crick may have been imagining substances such as dopamine that are released by the brain under certain conditions and produce rewarding sensations. Crick's suggestion that there might someday be a new science of "biochemical theology" seems to have been realized under an alternative name: there is now the new field of neurotheology.[63] Crick's view of the relationship between science and religion continued to play a role in his work as he made the transition from molecular biology research into theoretical neuroscience.
He asked in 1998, "And if some of the Bible is manifestly wrong, why should any of the rest of it be accepted automatically? ... And what would be more important than to find our true place in the universe by removing one by one these unfortunate vestiges of earlier beliefs?"[64]
In 2003 he was one of 21 Nobel Laureates who signed the Humanist Manifesto.[65]
Directed panspermia
During the 1960s, Crick became concerned with the origins of the genetic code. In 1966, Crick took the place of Leslie Orgel at a meeting where Orgel was to talk about the origin of life. Crick speculated about possible stages by which an initially simple code with a few amino acid types might have evolved into the more complex code used by existing organisms.[66] At that time, everyone thought of proteins as the only kind of enzymes and ribozymes had not yet been found. Many molecular biologists were puzzled by the problem of the origin of a protein replicating system that is as complex as that which exists in organisms currently inhabiting Earth. In the early 1970s, Crick and Orgel further speculated about the possibility that the production of living systems from molecules may have been a very rare event in the universe, but once it had developed it could be spread by intelligent life forms using space travel technology, a process they called "directed panspermia".[67] In a retrospective article,[68] Crick and Orgel noted that they had been overly pessimistic about the chances of abiogenesis on Earth when they had assumed that some kind of self-replicating protein system was the molecular origin of life.
In 1976 Crick addressed the origin of protein synthesis in a paper with Sydney Brenner, Aaron Klug, and George Pieczenik.[69] In this paper, based on Pieczenik's work, they speculate that code constraints on nucleotide sequences allow protein synthesis without the need for a ribosome. It, however, requires a five base binding between the mRNA and tRNA with a flip of the anti-codon creating a triplet coding, even though it is a five-base physical interaction. Thomas H. Jukes pointed out that the code constraints on the mRNA sequence required for this translation mechanism is still preserved.[70]
Neuroscience and other interests
Crick's period at Cambridge was the pinnacle of his long scientific career, but he left Cambridge in 1977 after 30 years, having been offered (and having refused) the Mastership of Gonville & Caius. James Watson claimed at a Cambridge conference marking the 50th anniversary of the discovery of the structure of DNA in 2003: "Now perhaps it's a pretty well kept secret that one of the most uninspiring acts of Cambridge University over this past century was to turn down Francis Crick when he applied to be the Professor of Genetics, in 1958. Now there may have been a series of arguments, which led them to reject Francis. It was really saying, don't push us to the frontier."[citation needed] The apparently "pretty well kept secret" had already been recorded in Soraya De Chadarevian's "Designs For Life: Molecular Biology After World War II", published by CUP in 2002. His major contribution to molecular biology in Cambridge is well documented in The History of the University of Cambridge: Volume 4 (1870 to 1990), which was published by Cambridge University Press in 1992.
According to the University of Cambridge's genetics department official website, the electors of the professorship could not reach consensus, prompting the intervention of then University Vice-Chancellor Lord Adrian. Lord Adrian first offered the professorship to a compromise candidate, Guido Pontecorvo, who refused, and is said to have offered it then to Crick, who also refused.
In 1976, Crick took a sabbatical year at the Salk Institute for Biological Studies in La Jolla, California. Crick had been a nonresident fellow of the Institute since 1960. Crick wrote, "I felt at home in Southern California."[71] After the sabbatical, Crick left Cambridge in order to continue working at the Salk Institute. He was also a professor at the University of California, San Diego. He taught himself neuroanatomy and studied many other areas of neuroscience research. It took him several years to disengage from molecular biology because exciting discoveries continued to be made, including the discovery of alternative splicing and the discovery of restriction enzymes, which helped make possible genetic engineering. Eventually, in the 1980s, Crick was able to devote his full attention to his other interest, consciousness. His autobiographical book, What Mad Pursuit, includes a description of why he left molecular biology and switched to neuroscience.
Upon taking up work in theoretical neuroscience, Crick was struck by several things:
- there were many isolated subdisciplines within neuroscience with little contact between them
- many people who were interested in behaviour treated the brain as a black box
- consciousness was viewed as a taboo subject by many neurobiologists
Crick hoped he might aid progress in neuroscience by promoting constructive interactions between specialists from the many different subdisciplines concerned with consciousness. He even collaborated with neurophilosophers such as Patricia Churchland. In 1983, as a result of their studies of computer models of neural networks, Crick and Mitchison proposed that the function of REM sleep is to remove certain modes of interactions in networks of cells in the mammalian cerebral cortex; they called this hypothetical process 'reverse learning' or 'unlearning'. In the final phase of his career, Crick established a collaboration with Christof Koch that lead to publication of a series of articles on consciousness during the period spanning from 1990[72] to 2005. Crick made the strategic decision to focus his theoretical investigation of consciousness on how the brain generates visual awareness within a few hundred milliseconds of viewing a scene. Crick and Koch proposed that consciousness seems so mysterious because it involves very short-term memory processes that are as yet poorly understood. Crick also published a book describing how neurobiology had reached a mature enough stage so that consciousness could be the subject of a unified effort to study it at the molecular, cellular and behavioural levels.[73] Crick's book The Astonishing Hypothesis made the argument that neuroscience now had the tools required to begin a scientific study of how brains produce conscious experiences. Crick was skeptical about the value of computational models of mental function that are not based on details about brain structure and function.
Reactions
Crick was often described as very talkative, with Watson - in The Double Helix - implying lack of modesty.[74] His personality combined with his scientific accomplishments produced many opportunities for Crick to stimulate reactions from others, both inside and outside of the scientific world, which was the centre of his intellectual and professional life.[75] Crick spoke rapidly, and rather loudly, and had an infectious and reverberating laugh, and a lively sense of humour. One colleague from the Salk Institute described him as "a brainstorming intellectual powerhouse with a mischievous smile.... Francis was never mean-spirited, just incisive. He detected microscopic flaws in logic. In a room full of smart scientists, Francis continually reearned his position as the heavyweight champ."[76]
Eugenics
Crick occasionally expressed his views on eugenics, usually in private letters. For example, Crick advocated a form of positive eugenics in which wealthy parents would be encouraged to have more children.[77] He once remarked, "In the long run, it is unavoidable that society will begin to worry about the character of the next generation... It is not a subject at the moment which we can tackle easily because people have so many religious beliefs and until we have a more uniform view of ourselves I think it would be risky to try and do anything in the way of eugenics... I would be astonished if, in the next 100 or 200 years, society did not come round to the view that they would have to try to improve the next generation in some extent or one way or another."
Creationism
It has been suggested by some observers that Crick's speculation about panspermia "fits neatly into the intelligent design concept."[78] Crick's name was raised in this context in the Kitzmiller v. Dover Area School District trial over the teaching of intelligent design. Crick was, however, a firm critic of Young Earth creationism. In the 1987 United States Supreme Court case Edwards v. Aguillard, Crick joined a group of other Nobel laureates who advised that, "'Creation-science' simply has no place in the public-school science classroom."[79] Crick was also an advocate for the establishment of Darwin Day as a British national holiday.[80]
Recognition
In addition to his third share of the 1962 Nobel prize for Physiology or Medicine, he received many awards and honours, including the Royal and Copley medals of the Royal Society (1972 and 1975), and also the Order of Merit (on 27 November 1991); he refused an offer of a CBE in 1963 and later refused an offer of a knighthood[citation needed], but was often referred to in error as 'Sir Francis Crick' and even on occasions as 'Lord Crick.'
The award of Nobel prizes to John Kendrew and Max Perutz, and to Crick, Watson, and Wilkins was satirised in a short sketch in the BBC TV programme That Was The Week That Was with the Nobel Prizes being referred to as 'The Alfred Nobel Peace Pools.'
Francis Crick Prize Lectures
The Francis Crick Lecture was established in 2003 following an endowment by his former colleague, Sydney Brenner, joint winner of the 2002 Nobel Prize in Physiology and Medicine.[81] The lecture is delivered annually in any field of biological sciences, with preference given to the areas in which Francis Crick himself worked. Importantly, the lectureship is aimed at younger scientists, ideally under 40, or whose career progression corresponds to this age.
Francis Crick Institute
The Francis Crick Institute is a planned £660,000,000 biomedical research centre to be located in London, United Kingdom.[82] The Francis Crick Institute is a partnership between Cancer Research UK, Imperial College London, King's College London, the Medical Research Council, University College London (UCL) and the Wellcome Trust.[83] Once completed in 2015, it will be the biggest centre for biomedical research and innovation in Europe.[82]
Francis Crick Graduate Lectures
The University of Cambridge Graduate School of Biological, Medical and Veterinary Sciences hosts The Francis Crick Graduate Lectures. The first two lectures were by John Gurdon and Tim Hunt.[84][85]
Other honors
- The inscription on the helices of a DNA sculpture (which was donated by James Watson) outside Clare College's Thirkill Court, Cambridge, England reads: "The structure of DNA was discovered in 1953 by Francis Crick and James Watson while Watson lived here at Clare." and on the base: "The double helix model was supported by the work of Rosalind Franklin and Maurice Wilkins."
- Another sculpture entitled Discovery, by artist Lucy Glendinning was installed on Tuesday, 13 December 2005 in Abington Street, Northampton. According to the late Lynn Wilson, chairman of the Wilson Foundation, "The sculpture celebrates the life of a world class scientist who must surely be considered the greatest Northamptonian of all time — by discovering DNA he unlocked the whole future of genetics and the alphabet of life."
- Westminster City Council unveiled a green plaque to Francis Crick on the front façade of 56 St George's Square, Pimlico, London SW1 on 20 June 2007; Crick lived in the first floor flat, together with Robert Dougall of BBC radio and later TV fame, a former Royal Navy associate.[86]
- In addition, Crick was a Fellow of the Royal Society, a Fellow of the International Academy of Humanism, and a Fellow of CSICOP.
- A sculpted bust of Francis Crick by John Sherrill Houser, which incorporates a single 'Golden' Helix, was cast in bronze in the artist's studio in New Mexico, US. The bronze was first displayed at the Francis Crick Memorial Conference (on Consciousness) at the University of Cambridge's Churchill College on 7 July 2012; it was bought by Mill Hill School in May 2013, and displayed at their inaugural Crick Dinner on 8 June 2013.
- The Benjamin Franklin Medal for Distinguished Achievement in the Sciences of the American Philosophical Society (2001), together with James D. Watson.[87]
Books by Crick
- Of Molecules and Men (Prometheus Books, 2004; original edition 1967) ISBN 1-59102-185-5
- Life Itself: Its Origin and Nature (Simon & Schuster, 1981) ISBN 0-671-25562-2
- What Mad Pursuit: A Personal View of Scientific Discovery (Basic Books reprint edition, 1990) ISBN 0-465-09138-5
- The Astonishing Hypothesis: The Scientific Search For The Soul (Scribner reprint edition, 1995) ISBN 0-684-80158-2
- Kreiseliana: about and around Georg Kreisel; ISBN 1-56881-061-X; 495 pages. For pages 25 – 32 "Georg Kreisel: a Few Personal Recollections" contributed by Francis Crick.
Books referring to Crick
- John Bankston, Francis Crick and James D. Watson; Francis Crick and James Watson: Pioneers in DNA Research (Mitchell Lane Publishers, Inc., 2002) ISBN 1-58415-122-6.
- Bill Bryson; A Short History of Nearly Everything (Broadway Books, 2003) ISBN 0-7679-0817-1.
- Soraya De Chadarevian; Designs For Life: Molecular Biology After World War II, CUP 2002, 444 pp; ISBN 0-521-57078-6.
- Roderick Braithwaite. ""'Strikingly Alive', The History of the Mill Hill School Foundation 1807-2007; published Phillimore & Co. ISBN 978-1-86077-330-3
- Edwin Chargaff; Heraclitean Fire, Rockefeller Press, 1978.
- S. Chomet (Ed.), "D.N.A. Genesis of a Discovery", 1994, Newman- Hemisphere Press, London
- Dickerson, Richard E.; "Present at the Flood: How Structural Molecular Biology Came About", Sinauer, 2005; ISBN 0-87893-168-6.
- Edward Edelson, "Francis Crick And James Watson: And the Building Blocks of Life"' Oxford University Press, 2000, ISBN 0-19-513971-2.
- John Finch; 'A Nobel Fellow On Every Floor', Medical Research Council 2008, 381 pp, ISBN 978-1-84046-940-0.
- Hager, Thomas; "Force of Nature: The Life of Linus Pauling", Simon & Schuster 1995; ISBN 0-684-80909-5
- Graeme Hunter; Light Is A Messenger, the life and science of William Lawrence Bragg (Oxford University Press, 2004) ISBN 0-19-852921-X.
- Horace Freeland Judson, The Eighth Day of Creation. Makers of the Revolution in Biology; Penguin Books 1995, first published by Jonathan Cape, 1977; ISBN 0-14-017800-7.
- Errol C. Friedberg; "Sydney Brenner: A Biography", pub. CSHL Press October 2010, ISBN 0-87969-947-7.
- Torsten Krude (Ed.); DNA Changing Science and Society (ISBN 0-521-82378-1) CUP 2003. (The Darwin Lectures for 2003, including one by Sir Aaron Klug on Rosalind Franklin's involvement in the determination of the structure of DNA).
- Brenda Maddox Rosalind Franklin: The Dark Lady of DNA, 2002. ISBN 0-00-655211-0.
- Robert Olby; The Path to The Double Helix: Discovery of DNA; first published in October 1974 by MacMillan, with foreword by Francis Crick; ISBN 0-486-68117-3; revised in 1994, with a 9-page postscript.
- Robert Olby; Oxford National Dictionary article: ‘Crick, Francis Harry Compton (1916–2004)’, Oxford Dictionary of National Biography, Oxford University Press, January 2008.
- Robert Olby; "Francis Crick: Hunter of Life's Secrets", Cold Spring Harbor Laboratory Press, ISBN 978-0-87969-798-3, published on 25 August 2009.[88]
- Matt Ridley; Francis Crick: Discoverer of the Genetic Code (Eminent Lives) first published in June 2006 in the US and then in the UK September 2006, by HarperCollins Publishers; 192 pp, ISBN 0-06-082333-X.
- Anne Sayre. 1975. Rosalind Franklin and DNA. New York: W.W. Norton and Company. ISBN 0-393-32044-8.
- James D. Watson; The Double Helix: A Personal Account of the Discovery of the Structure of DNA, Atheneum, 1980, ISBN 0-689-70602-2 (first published in 1968) is a very readable firsthand account of the research by Crick and Watson. The book also formed the basis of the award winning television dramatization Life Story by BBC Horizon (also broadcast as Race for the Double Helix).
- James D. Watson; The Double Helix: A Personal Account of the Discovery of the Structure of DNA; The Norton Critical Edition, which was published in 1980, edited by Gunther S. Stent: ISBN 0-393-01245-X.
- James D. Watson; "Avoid boring people and other lessons from a life in science" New York: Random House. ISBN 978-0-375-41284-4, 366pp.
- Maurice Wilkins; The Third Man of the Double Helix: The Autobiography of Maurice Wilkins ISBN 0-19-860665-6.
See also
- Crick, Brenner et al. experiment
- Crick's wobble hypothesis
- History of RNA biology
- List of RNA biologists
- Molecular structure of Nucleic Acids
- Neural correlates of consciousness
- Reverse learning
References
- ^ The Nobel Prize in Physiology or Medicine 1962. Nobel Prize Site for Nobel Prize in Physiology or Medicine 1962.
- ^ Rich, A.; Stevens, C. F. (2004). "Obituary: Francis Crick (1916–2004)". Nature 430 (7002): 845–847. doi:10.1038/430845a. PMID 15318208.
- ^ Ridley, Matt (2006). Francis Crick: discoverer of the genetic code. [Ashland, OH: Atlas Books. p. 192. ISBN 0-06-082333-X.
- ^ Shermer, Michael (30 July 2004). "Astonishing Mind: Francis Crick 1916–2004". Skeptics Society. Retrieved 25 August 2006.
- ^ Darwin, Charles (1882). "On the Dispersal of Freshwater Bivalves". Nature 25 (649): 529–30. Bibcode:1882Natur..25R.529D. doi:10.1038/025529f0.
- ^ Crick, Francis (1990). What Mad Pursuit: a Personal View of Scientific Discovery. Basic Books reprint edition. p. 10. ISBN 0-465-09138-5. — "I remember telling my mother that I no longer wished to go to church".
- ^ Chapters 1 and 2 of What Mad Pursuit by Francis Crick — provide Crick's description of his early life and education
- ^ Page 13 of What Mad Pursuit by Francis Crick.
- ^ Rich, Alexander; Stevens, Charles F. (August 2004). "Obituary: Francis Crick (1916–2004)". Nature 430 (7002): 845–7. Bibcode:2004Natur.430..845R. doi:10.1038/430845a. PMID 15318208.
- ^ Robert Olby Daedalus , Vol. 99, No. 4, The Making of Modern Science: Biographical Studies (Fall, 1970), pp. 941
- ^ "Bio at Wellcome Trust". Genome.wellcome.ac.uk. Retrieved 15 March 2010.
- ^ Francis Crick: Hunter of Life's Secrets by Professor Robert Olby, Timeline, page ix,
- ^ Francis Crick: Hunter of Life's Secrets by Professor Robert Olby, page 505
- ^ Wade, Nicholas (30 July 2004). "Francis Crick, Co-Discoverer of DNA, Dies at 88". The New York Times. Retrieved 21 July 2007. "Francis H. C. Crick, co-discoverer of the structure of DNA, the genetic blueprint for life, and the leading molecular biologist of his age, died on Wednesday night in a hospital in San Diego. He was 88. He died after a long battle with colon cancer, said Andrew Porterfield, a spokesman for the Salk Institute, where he worked."
- ^ Page 17 of What Mad Pursuit by Francis Crick.
- ^ Page 18 of What Mad Pursuit by Francis Crick.
- ^ a b Page 22 of What Mad Pursuit by Francis Crick.
- ^ a b Page 30 of The Eighth Day of Creation: Makers of the Revolution in Biology by Horace Freeland Judson published by Cold Spring Harbor Laboratory Press (1996) ISBN 0-87969-478-5.
- ^ Page 25 of What Mad Pursuit by Francis Crick.
- ^ "Esther M. Zimmer Lederberg: Anecdotes". Estherlederberg.com. Retrieved 15 November 2011.
- ^ a b Page 32 of What Mad Pursuit by Francis Crick.
- ^ Pages 33–34 of What Mad Pursuit by Francis Crick.
- ^ a b Chapter 4 of What Mad Pursuit by Francis Crick.
- ^ Page 46 of What Mad Pursuit by Francis Crick. "..there was no alternative but to teach X-ray diffraction to myself."
- ^ Pauling L, Corey RB (May 1951). "Atomic Coordinates and Structure Factors for Two Helical Configurations of Polypeptide Chains". Proceedings of the National Academy of Sciences of the United States of America 37 (5): 235–40. Bibcode:1951PNAS...37..235P. doi:10.1073/pnas.37.5.235. PMC 1063348. PMID 14834145.
- ^ Page 58 of What Mad Pursuit by Francis Crick.
- ^ Cochran, W.; Crick, F. H.; Vand, V. (1952). "The structure of synthetic polypeptides. I. The transform of atoms on a helix". Acta Crystallographica 5 (5): 581–6. doi:10.1107/S0365110X52001635.
- ^ Cochran, W.; Crick, F. H. C. (1952). "Evidence for the Pauling–Corey α-Helix in Synthetic Polypeptides". Nature 169 (4293): 234. Bibcode:1952Natur.169..234C. doi:10.1038/169234a0.
- ^ Watson JD, Crick FH (April 1953). "Molecular Structure of Nucleic Acids: A Structure for Deoxyribose Nucleic Acid". Nature 171 (4356): 737–8. Bibcode:1953Natur.171..737W. doi:10.1038/171737a0. PMID 13054692.
- ^ Francis Crick's 1962 Biography from the Nobel foundation.
- ^ Crick traced his interest in the physical nature of the gene back to the start of his work in biology, when he was in the Strangeways laboratory; Page 22 of What Mad Pursuit by Francis Crick.
- ^ In The Eighth Day of Creation, Horace Judson describes the development of Watson's thinking about the physical nature of genes. On page 89, Judson explains that by the time Watson came to Cambridge, he believed genes were made of DNA and he hoped that he could use X-ray diffraction data to determine the structure.
- ^ Page 90, In The Eighth Day of Creation by Horace Judson.
- ^ a b "Linus Pauling and the Race for DNA: A Documentary History". Special Collections, The Valley Library, Oregon State University.
- ^ Chapter 3 in The Eighth Day of Creation by Horace Judson.
- ^ Perutz MF, Randall JT, Thomson L, Wilkins MH, Watson JD (June 1969). "DNA helix". Science 164 (3887): 1537–9. Bibcode:1969Sci...164.1537W. doi:10.1126/science.164.3887.1537. PMID 5796048.
- ^ Franklin's citation to the earlier work of W. T. Astbury is in:
Franklin RE, Gosling RG (April 1953). "Molecular configuration in sodium thymonucleate" (PDF reprint). Nature 171 (4356): 740–1. Bibcode:1953Natur.171..740F. doi:10.1038/171740a0. PMID 13054694. - ^ Crick F (April 1974). "The double helix: a personal view". Nature 248 (5451): 766–9. Bibcode:1974Natur.248..766C. doi:10.1038/248766a0. PMID 4599081.
- ^ In chapter 3 of The Eighth Day of Creation, Horace Judson describes the development of Watson's and Crick's thinking about the structure of DNA and how it evolved during their model building. Watson and Crick were open to the idea of tentatively ignoring all individual experimental results, in case they might be wrong or misleading. Judson describes how Watson spent a large amount of time ignoring Crick's belief (based on Franklin's determination of the space group) that the two backbone strands were antiparallel. On page 176, Judson quotes a letter written by Watson, "The model has been derived almost entirely from stereochemical considerations with the only X-ray consideration being the spacing between the pair of bases 3.4 A which was originally found by Astbury."
- ^ Personal communication: Conversation between Francis Crick and Kim Booth, August 1980
- ^ See Chapter 3 of The Eighth Day of Creation: Makers of the Revolution in Biology by Horace Freeland Judson published by Cold Spring Harbor Laboratory Press (1996) ISBN 0-87969-478-5. Judson also lists the publications of W. T. Astbury that described his early X-ray diffraction results for DNA.
- ^ Page 75 of What Mad Pursuit by Francis Crick. "If Jim had been killed by a tennis ball, I am reasonably sure I would not have solved the structure alone".
- ^ Matthew Simon, "Emergent Computation: emphasizing bioinformatics," Springer, 2005
- ^
- ^ Crick letter transcribed at the New York Times
- ^ Crick letter auction.
- ^ Olby, Robert, Francis Crick: Hunter of Life's Secrets, Cold Spring Harbor Laboratory Press, 2009, Chapter 10, p. 181 ISBN 978-0-87969-798-3
- ^ Watson JD, Crick FH (May 1953). "Genetical implications of the structure of deoxyribonucleic acid" (PDF reprint). Nature 171 (4361): 964–7. Bibcode:1953Natur.171..964W. doi:10.1038/171964b0. PMID 13063483.
- ^ Morgan GJ (February 2003). "Historical review: viruses, crystals and geodesic domes". Trends in Biochemical Sciences 28 (2): 86–90. doi:10.1016/S0968-0004(02)00007-5. PMID 12575996.
- ^ Rich A, Crick FH (November 1955). "The structure of collagen" (PDF reprint). Nature 176 (4489): 915–6. Bibcode:1955Natur.176..915R. doi:10.1038/176915a0. PMID 13272717.
- ^ "On Degenerate Templates and the Adaptor Hypothesis: A Note for the RNA Tie Club" by Francis Crick (1956).
- ^ Crick FH (1958). "On protein synthesis" (PDF reprint). Symp. Soc. Exp. Biol. 12: 138–63. PMID 13580867.
- ^ Crick FH, Barnett L, Brenner S, Watts-Tobin RJ (December 1961). "General nature of the genetic code for proteins" (PDF reprint). Nature 192 (4809): 1227–32. Bibcode:1961Natur.192.1227C. doi:10.1038/1921227a0. PMID 13882203.
- ^ Crick FH (April 1967). "The Croonian lecture, 1966. The genetic code" (PDF reprint). Proc. R. Soc. Lond., B, Biol. Sci. 167 (9): 331–47. Bibcode:1967RSPSB.167..331C. doi:10.1098/rspb.1967.0031. PMID 4382798.
- ^ Chapter 3 of The Eighth Day of Creation: Makers of the Revolution in Biology by Horace Freeland Judson published by Cold Spring Harbor Laboratory Press (1996) ISBN 0-87969-478-5.
- ^ Maurice Wilkins; The Third Man of the Double Helix by Maurice Wilkins (ISBN 0-19-860665-6). Wilkins provides a detailed account of the fact that Franklin's results were interpreted as most likely indicated three, and possibly four, polynucleotide strands in the DNA molecule.
- ^ Maddox, Brenda (2002). Rosalind Franklin: the dark lady of DNA. London: HarperCollins. ISBN 0-06-018407-8.
- ^ McKie, Robin (17 September 2006). "Genius was in his DNA". The Guardian (London). Retrieved 4 August 2007.
- ^ Of Molecules and Men (Prometheus Books, 2004; original edition 1967) ISBN 1-59102-185-5. A portion of the book was published as "The Computer, the Eye, the Soul" in Saturday Review (1966): 53–55.
- ^ Crick, Francis (1990). What Mad Pursuit: a Personal View of Scientific Discovery. Basic Books reprint edition. p. 10. ISBN 0-465-09138-5. — Crick described himself as agnostic, with a "strong inclination towards atheism".
- ^ Beckett C (April 2004). "For the Record: The Francis Crick Archive at the Wellcome Library". Med Hist 48 (2): 245–60. PMC 546341. PMID 15151106.
See also e.g. Telegraph Article - ^ a b Crick F (November 1970). "Molecular biology in the year 2000" (PDF reprint). Nature 228 (5272): 613–5. Bibcode:1970Natur.228..613C. doi:10.1038/228613a0. PMID 4920018.
- ^ Borg J, Andrée B, Soderstrom H, Farde L (November 2003). "The serotonin system and spiritual experiences". Am J Psychiatry 160 (11): 1965–9. doi:10.1176/appi.ajp.160.11.1965. PMID 14594742.
- ^ Crick, Francis (1990). What Mad Pursuit: a Personal View of Scientific Discovery. Basic Books reprint edition. p. 11. ISBN 0-465-09138-5.
- ^ "Notable Signers". Humanism and Its Aspirations. American Humanist Association. Retrieved 28 September 2012.
- ^ Crick FH (December 1968). "The origin of the genetic code". Journal of Molecular Biology 38 (3): 367–79. doi:10.1016/0022-2836(68)90392-6. PMID 4887876.
- ^ "Directed Panspermia" by Francis Crick and Leslie E Orgel in Icarus (1973) Volume 19 pages 341–346. Crick later wrote a book about directed panspermia: Crick, Francis (1981). Life itself: its origin and nature. New York: Simon and Schuster. ISBN 0-671-25562-2.
- ^ Orgel LE, Crick FH (January 1993). "Anticipating an RNA world. Some past speculations on the origin of life: where are they today?". The FASEB Journal 7 (1): 238–9. PMID 7678564.
- ^ Crick FH, Brenner S, Klug A, Pieczenik G (December 1976). "A speculation on the origin of protein synthesis". Origins of Life 7 (4): 389–97. Bibcode:1976OrLi....7..389C. doi:10.1007/BF00927934. PMID 1023138.
- ^ "Evolution of transfer RNA molecules as a repetitive process". TH 212 (6): 1. 1972. Retrieved 11 February 2011
- ^ Page 145 of What Mad Pursuit by Francis Crick.
- ^ "Towards a Neurobiological Theory of Consciousness" by Francis Crick and Christof Koch in Seminars in the Neurosciences (1990): Volume 2 pages 263–275.
- ^ The Astonishing Hypothesis: The Scientific Search For The Soul by Francis Crick. (Scribner reprint edition, 1995) ISBN 0-684-80158-2
- ^ Watson's book The Double Helix painted a vivid image of Crick, starting with the famous line, "I have never seen Francis Crick in a modest mood." The first chapter of Horace Judson's book The Eighth Day of Creation describes the importance of Crick's talking and his boldness in his scientific style.
- ^ Describing Crick's influence on his scientific colleagues, Francis Crick Papers archivist Chris Beckett wrote of the importance of, ".....Crick's presence and eloquence —direct and beguiling, by all accounts in the archive— at conference after conference, through formal lectures, extempore summaries, informal meetings and individual conversations. Indeed, one has the impression that it was through these frequent persuasive moments of personal delivery and purposive conversations that Crick was most influential."
Beckett C (April 2004). "For the Record: The Francis Crick Archive at the Wellcome Library". Med Hist 48 (2): 245–60. PMC 546341. PMID 15151106.. Also described as an example of Crick's wide recognition and public profile are some of the times Crick was addressed as "Sir Francis Crick" with the assumption that someone so famous must have been knighted. - ^ Eagleman, D.M. (2005). Obituary: Francis H. C. Crick (1916-2004). Vision Research. 45: 391-393.
- ^ Francis Crick: Discoverer of the Genetic Code by Matt Ridley, published in 2006 by HarperCollins Publishers.
- ^ Intelligent design tied to creationism in Dover trial by Bill Toland for the Pittsburgh Post-Gazette (28 September 2005).
- ^ Amicus Curiae Brief of 72 Nobel Laureates, 17 State Academies of Science, and 7 Other Scientific Organization in Support of Appellees filed in the case Edwards v. Aguillard before the U.S. Supreme Court (1986).
- ^ Press release from the British Humanist Association: Darwin Day a natural holiday? (12 February 2003).
- ^ The Francis Crick Lecture (2003): The Royal Society website. Retrieved 12 July 2006.
- ^ a b Jha, Alok (19 June 2010). "Plans for largest biomedical research facility in Europe unveiled". London: The Guardian. Retrieved 11 August 2010.
- ^ "Three’s company: Imperial, King’s join UCL in £700m medical project". Times Higher Education. 15 April 2011. Retrieved 16 April 2011.
- ^ Back and Forward: From University to Research Institute; From Egg to Adult, and Back Again by Professor Sir John Gurdon, Francis Crick Graduate Lectures, 29 November 2005. University of Cambridge. Retrieved 12 July 2006.
- ^ A Life in Science by Dr Tim Hunt, Francis Crick Graduate Lectures, 29 June 2005. University of Cambridge. Retrieved 12 July 2006.
- ^ [1]
- ^ "Benjamin Franklin Medal for Distinguished Achievement in the Sciences Recipients". American Philosophical Society. Retrieved 27 November 2011.
- ^
External links
Crick papers
- Register of Francis Crick Personal Papers – MSS 660 Crick's personal papers at Mandeville Special Collections Library, Geisel Library, University of California, San Diego
- Francis Crick Archive — Papers by Francis Crick are available for study at the Wellcome Library’s Archives and Manuscripts department. These papers include those dealing with Crick’s career after he moved to the Salk Institute in San Diego. The Crick papers
- Comprehensive list of pdf files of Crick's papers from 1950 to 1990 – National Library of Medicine.
- Francis Crick papers – Nature.com
- http://www.intuition.org/txt/crick2.htm for Crick's comments on LSD
- Manuscripts and Correspondence – Mark Bretscher Discovery of Crick's original scientific material in Cambridge, England.
- Key Participants: Francis H. C. Crick – Linus Pauling and the Race for DNA: A Documentary History
Hear or see Crick
- An interview with Francis Crick and Christof Koch, 2001
- Listen to Francis Crick
- Presentation speech at the Nobel Prize ceremony in 1962.
- The Quest for Consciousness – The Quest for Consciousness – 65 minute audio program — a conversation on Consciousness with neurobiologist Francis Crick of the Salk Institute and neurobiologist Christof Koch from Caltech.
- Listen to Francis Crick and James Watson talking on the BBC in 1962, 1972, and 1974.
- The Impact of Linus Pauling on Molecular Biology – a 1995 talk delivered by Crick at Oregon State University
About his work
- The Crick Papers at the Wellcome Trust.
- "Quiet debut for the double helix" by Professor Robert Olby, Nature 421 (23 January 2003): 402-405.
- Reading list for discovery of DNA story from the National Centre for Biotechnology Education.
About his life
- Olby's Australian lecture, March 2010
- Salk Institute Press Release on the death of Francis Crick.
- BBC News: Francis Crick dies aged 88
- Francis Crick (Archived 2009-10-31) – MSN Encarta
- The Francis Crick Papers - Profiles in Science, National Library of Medicine
Miscellaneous
- National DNA Day, 25 April 2006 Moderated Chat Transcript Archive
- Obituary in "The Times" (London) of Francis Crick, 30 July 2004.
- Independent On Line article about Consciousness, 7 June 2006.
- Francis Crick Obituary The Biochemist
- Obituary: Francis H. C. Crick (1916-2004) by David M. Eagleman, in Vision Research
- Siegel RM, Callaway EM (December 2004). "Francis Crick's Legacy for Neuroscience: Between the α and the Ω". PLoS Biology 2 (12): e419. doi:10.1371/journal.pbio.0020419. PMC 535570. PMID 17593891.
- 100 Scientists and Thinkers: James Watson and Francis Crick from TIME magazine.
- Francis Crick: Nobel Prize 1962, Physiology or Medicine
- Associated Press story on the death of Francis Crick
- First press stories on DNA but for the 'second' DNA story in The New York Times, see: http://www.nytimes.com/packages/pdf/science/dna-article.pdf — for reproduction of the original text in June 1953.
- 'Death' of DNA Helix (Crystalline) joke funeral card.
- Lynne Elkins' article on Franklin.
- 50th anniversary series of articles -from The New York Times.
- Quotes of Robert Olby on exactly who may have discovered the structure of DNA.
- listen to Matt Ridley talking about Francis Crick.
- A celebration of Francis Crick's life in science.
- Francis Crick tells his life story at Web of Stories
- Odile Crick's Artwork and biography
- Bretscher M, Lawrence P (August 2004). "Francis Crick 1916–2004". Current Biology 14 (16): R642–5. doi:10.1016/j.cub.2004.08.006. PMID 15324677.
- Article by Mark Steyn from The Atlantic in 2004.
- Review of "Francis Crick: Hunter of Life's Secrets" in 'Current Biology'.
| ||||||||
|