Wikipedia

Thymidine triphosphate

Also found in: Dictionary, Medical, Acronyms.
(redirected from dTTP)
Thymidine triphosphate
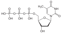
Skeletal formula of thymidine triphosphate, 3- negative charge
Space-filling model of the thymidine triphosphate molecule, 4- negative charge
Names
IUPAC name
[(2R,3S,5R)-3-hydroxy-5-(5-methyl-2,4-dioxopyrimidin-1-yl)oxolan-2-yl]methyl (hydroxy-phosphonooxyphosphoryl) hydrogen phosphate
Other names
dTTP, 2'-deoxythymidine triphosphate
Identifiers
3D model (JSmol)
ChEMBL
ChemSpider
ECHA InfoCard 100.006.064 Edit this at Wikidata
IUPHAR/BPS
MeSH thymidine+5'-triphosphate
UNII
CompTox Dashboard (EPA)
Properties
Chemical formula
C10H17N2O14P3
Molar mass 482.168
Except where otherwise noted, data are given for materials in their standard state (at 25 °C [77 °F], 100 kPa).

Deoxythymidine triphosphate (dTTP) is one of the four nucleoside triphosphates that are used in the in vivo synthesis of DNA. Unlike the other deoxyribonucleoside triphosphates, thymidine triphosphate does not always contain the "deoxy" prefix in its name.[1] The corresponding ribonucleoside triphosphate is called uridine triphosphate.

It can be used by DNA ligase to create overlapping "sticky ends" so that protruding ends of opened microbial plasmids may be closed up.

References

  1. ^ Coghill, Anne M.; Garson, Lorrin R., eds. (2006). The ACS style guide: effective communication of scientific information (3rd ed.). Washington, D.C.: American Chemical Society. p. 244. ISBN 978-0-8412-3999-9.


This article is copied from an article on Wikipedia® - the free encyclopedia created and edited by its online user community. The text was not checked or edited by anyone on our staff. Although the vast majority of Wikipedia® encyclopedia articles provide accurate and timely information, please do not assume the accuracy of any particular article. This article is distributed under the terms of GNU Free Documentation License.

Copyright © 2003-2025 Farlex, Inc Disclaimer
All content on this website, including dictionary, thesaurus, literature, geography, and other reference data is for informational purposes only. This information should not be considered complete, up to date, and is not intended to be used in place of a visit, consultation, or advice of a legal, medical, or any other professional.