Wikipedia

D-Galacturonic acid

Also found in: Dictionary, Medical, Encyclopedia.
d-Galacturonic acid
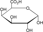
Galacturonic acid.png
Names
IUPAC name
(2S,3R,4S,5R)-2,3,4,5-tetrahydroxy-6-oxo-hexanoic acid
Identifiers
3D model (JSmol)
ChEBI
ChemSpider
ECHA InfoCard 100.035.495 Edit this at Wikidata
EC Number
  • 211-682-6
UNII
CompTox Dashboard (EPA)
Properties
C6H10O7
Molar mass 194.139
Melting point 159 °C (318 °F; 432 K)
Except where otherwise noted, data are given for materials in their standard state (at 25 °C [77 °F], 100 kPa).

d-Galacturonic acid is a sugar acid, an oxidized form of d-galactose. It is the main component of pectin, in which it exists as the polymer polygalacturonic acid.[1] In its open form, it has an aldehyde group at C1 and a carboxylic acid group at C6. Other oxidized forms of d-galactose are d-galactonic acid (carboxylic group at C1) and meso-galactaric acid (mucic acid) (carboxylic groups at C1 and C6). It is also a uronic acid or hexuronic acid. Naturally occurring uronic acids are d-glucuronic acid, d-galacturonic acid, l-iduronic acid and d-mannuronic acid.

References

  1. ^ Debra Mohnen "Pectin structure and biosynthesis" Current Opinion in Plant Biology 2008, 11:266–277. doi:10.1016/j.pbi.2008.03.006.
This article is copied from an article on Wikipedia® - the free encyclopedia created and edited by its online user community. The text was not checked or edited by anyone on our staff. Although the vast majority of Wikipedia® encyclopedia articles provide accurate and timely information, please do not assume the accuracy of any particular article. This article is distributed under the terms of GNU Free Documentation License.

Copyright © 2003-2025 Farlex, Inc Disclaimer
All content on this website, including dictionary, thesaurus, literature, geography, and other reference data is for informational purposes only. This information should not be considered complete, up to date, and is not intended to be used in place of a visit, consultation, or advice of a legal, medical, or any other professional.