Wikipedia

Aniracetam

Also found in: Medical.
Aniracetam
Aniracetam.svg
Aniracetam3d.png
Clinical data
Trade namesAmpamet, Memodrin, Pergamid
AHFS/Drugs.comInternational Drug Names
Routes of
administration
By mouth
ATC code
Legal status
Legal status
  • AU: Schedule 4 (Prescription Only)
  • US: Not approved
  • In general: unscheduled
Pharmacokinetic data
Elimination half-life1–2.5 hours
Identifiers
CAS Number
PubChem CID
IUPHAR/BPS
DrugBank
ChemSpider
UNII
KEGG
ChEBI
ChEMBL
CompTox Dashboard (EPA)
ECHA InfoCard100.108.230 Edit this at Wikidata
Chemical and physical data
FormulaC12H13NO3
Molar mass219.240 g·mol−1
3D model (JSmol)
(verify)

Aniracetam (brand names Draganon, Sarpul, Ampamet, Memodrin, Referan), also known as N-anisoyl-2-pyrrolidinone, is a racetam which is sold in Europe as a prescription drug. It is not approved by the Food and Drug Administration for use in the United States as a prescription medication or dietary supplement.[1][2] Despite the FDA's lack of approval, the drug is readily available over-the-counter in the US as a dietary supplement.[1]

Pharmacology

Aniracetam has been shown to positively modulate the AMPA receptor.[3]

When ingested orally aniracetam is quickly broken down via first pass hepatic metabolism. The primary metabolites of aniracetam are N-anisoyl-GABA, (70–80%), 2-Pyrrolidinone and p-anisic acid (20–30%).[4][5][6]

Plasma concentrations are generally in the 5–15 μg/L range for aniracetam and 5–15 mg/L range for N-anisoyl-GABA, a pharmacologically-active metabolite, during the first few hours after oral administration of the drug. These two plasma species may be measured by liquid chromatography-mass spectrometry.[7][8][9]

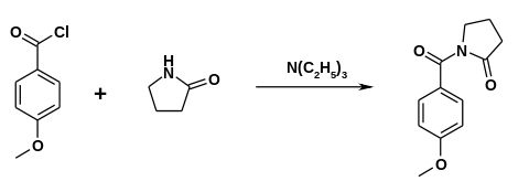
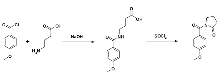
Synthesis

The drug was first made in the 1970s by Hoffmann-La Roche.[10][11] Synthesis can be accomplished by reacting 2-pyrrolidone with anisoyl chloride in the presence of triethylamine.[12]

Aniracetam synthesis 01.svg

Alternatively, gamma-aminobutyric acid can react with anisoyl chloride. Ring closure can be accomplished in the presence of thionyl chloride.[12]

Aniracetam synthesis 02.svg

Legality

Australia

Aniracetam is a schedule 4 substance in Australia under the Poisons Standard (February 2020).[13] A schedule 4 substance is classified as "Prescription Only Medicine, or Prescription Animal Remedy – Substances, the use or supply of which should be by or on the order of persons permitted by State or Territory legislation to prescribe and should be available from a pharmacist on prescription." [13]

See also

  • AMPA receptor positive allosteric modulator

References

  1. ^ a b Malykh AG, Sadaie MR (February 2010). "Piracetam and piracetam-like drugs: from basic science to novel clinical applications to CNS disorders". Drugs. 70 (3): 287–312. doi:10.2165/11319230-000000000-00000. PMID 20166767. S2CID 12176745.
  2. ^ Cohen, Pieter A.; Avula, Bharathi; Wang, Yan Hong; Zakharevich, Igor; Khan, Ikhlas (23 September 2020). "Five unapproved drugs found in cognitive enhancement supplements". Neurology: Clinical Practice: 10.1212/CPJ.0000000000000960. doi:10.1212/CPJ.0000000000000960.
  3. ^ Ito I, Tanabe S, Kohda A, Sugiyama H (May 1990). "Allosteric potentiation of quisqualate receptors by a nootropic drug aniracetam". The Journal of Physiology. 424: 533–43. doi:10.1113/jphysiol.1990.sp018081. PMC 1189827. PMID 1975272.
  4. ^ Lee CR, Benfield P (March 1994). "Aniracetam. An overview of its pharmacodynamic and pharmacokinetic properties, and a review of its therapeutic potential in senile cognitive disorders". Drugs & Aging. 4 (3): 257–73. doi:10.2165/00002512-199404030-00007. PMID 8199398.
  5. ^ Action A (22 July 2013). Schizophrenia: New Insights for the Healthcare Professional. ScholarlyEditions. pp. 152–. ISBN 978-1-4816-6196-6.
  6. ^ Testa B, Mayer JM (1 August 2003). Hydrolysis in Drug and Prodrug Metabolism. John Wiley & Sons. pp. 109–. ISBN 978-3-906390-25-3.
  7. ^ Cai S, Wang L (May 2012). "Determination of aniracetam's main metabolite, N-anisoyl-GABA, in human plasma by LC-MS/MS and its application to a pharmacokinetic study". Journal of Chromatography B. 897: 50–4. doi:10.1016/j.jchromb.2012.04.007. PMID 22552003.
  8. ^ Zhang J, Liang J, Tian Y, Zhang Z, Chen Y (October 2007). "Sensitive and selective liquid chromatography-tandem mass spectrometry method for the quantification of aniracetam in human plasma". Journal of Chromatography B. 858 (1–2): 129–34. doi:10.1016/j.jchromb.2007.08.010. PMID 17826366.
  9. ^ Baselt RC (2014). Disposition of Toxic Drugs and Chemicals in Man (10th ed.). Seal Beach, CA: Biomedical Publications. pp. 142–143. ISBN 978-0-9626523-9-4.
  10. ^ EP application 44088, Kyburz E, Aschwanden W, "p-Methoxy-benzoyl derivatives", published 9 February 1979, assigned to Hoffmann-La Roche
  11. ^ EP 5143, Kyburz E, Aschwanden W, "1-Benzoyl-2-pyrrolidinone derivative, processes for its preparation and medicaments containing it.", published 9 February 1979, assigned to Hoffmann-La Roche
  12. ^ a b Kleemann A, Engels J, Kutscher B, Reichert D (2001). Pharmaceutical substances: syntheses, patents, applications (4th ed.). Stuttgart: Thieme. ISBN 978-3-13-558404-1.
  13. ^ a b Poisons Standard February 2020. comlaw.gov.au
This article is copied from an article on Wikipedia® - the free encyclopedia created and edited by its online user community. The text was not checked or edited by anyone on our staff. Although the vast majority of Wikipedia® encyclopedia articles provide accurate and timely information, please do not assume the accuracy of any particular article. This article is distributed under the terms of GNU Free Documentation License.

Copyright © 2003-2025 Farlex, Inc Disclaimer
All content on this website, including dictionary, thesaurus, literature, geography, and other reference data is for informational purposes only. This information should not be considered complete, up to date, and is not intended to be used in place of a visit, consultation, or advice of a legal, medical, or any other professional.