Wikipedia

2,5-Dimethoxy-4-methylamphetamine

Also found in: Medical.
2,5-Dimethoxy-4-methylamphetamine
DOM2DACS.svg
DOM3Dan.gif
Names
IUPAC name
1-(2,5-Dimethoxy-4-methylphenyl)-propan-2-amine
Other names
2,5-Dimethoxy-4-methylamphetamine
Identifiers
3D model (JSmol)
ChEMBL
ChemSpider
UNII
CompTox Dashboard (EPA)
Properties
C12H19NO2
Molar mass 209.29 g/mol
Melting point 61 °C (142 °F; 334 K)
Except where otherwise noted, data are given for materials in their standard state (at 25 °C [77 °F], 100 kPa).

2,5-Dimethoxy-4-methylamphetamine (DOM; known on the street as STP, standing for "Serenity, Tranquility and Peace") is a psychedelic and a substituted amphetamine. It was first synthesized by Alexander Shulgin, and later reported in his book PiHKAL: A Chemical Love Story. DOM is classified as a Schedule I substance in the United States, and is similarly controlled in other parts of the world. Internationally, it is a Schedule I drug under the Convention on Psychotropic Substances.[1] It is generally taken orally.

History

STP was first synthesized and tested in 1963 by Alexander Shulgin, who was investigating the effect of 4-position substitutions on psychedelic amphetamines.[2]

In mid-1967, tablets containing 20 mg (later 10 mg) of STP were widely distributed in the Haight-Ashbury District of San Francisco under the name of STP, having been manufactured by underground chemists Owsley Stanley and Tim Scully. This short lived appearance of STP on the black market proved disastrous for several reasons. First, the tablets contained an excessively high dose of the chemical. This, combined with DOM’s slow onset of action (which encouraged some users, familiar with drugs that have quicker onsets, such as LSD, to re-dose) and its remarkably long duration, caused many users to panic and sent some to the emergency room. Second, treatment of such overdoses was complicated by the fact that no one at the time knew that the tablets called STP were, in fact, DOM.

Effects

Effects of this drug include substantial perceptual changes such as blurred vision, multiple images, vibration of objects, visual alterations, distorted shapes, enhancement of details, slowed passage of time, increased sexual drive and pleasure, and increased contrasts. It may cause mystical experiences and changes in consciousness. It may also cause pupillary dilation and a rise in systolic blood pressure.[3]

Pharmacology

DOM is a selective 5-HT2A, 5-HT2B, and 5-HT2C receptor partial agonist. Its psychedelic effects are mediated by its agonistic properties at the 5-HT2A receptor. Due to its selectivity, DOM is often used in scientific research when studying the 5-HT2 receptor subfamily. DOM is a chiral molecule, and R-(−)-DOM is the more active enantiomer, functioning as a potent agonist of the serotonin 5-HT family of receptors; mainly of the 5-HT2 subtype.[4]

Analogues and derivatives

The 2,6-dimethoxy positional isomer of DOM, known as Ψ-DOM, is also mentioned in PiHKAL as being active, as is the alpha-ethyl homologue Ariadne. Analogues where the methoxy groups at the 2,5- positions of the aromatic ring have been altered have also been synthesised and tested as part of an effort to identify the binding mode of DOM at the 5-HT2A receptor. Both the 2- and 5- O-desmethyl derivatives 2-DM-DOM and 5-DM-DOM, and the 2- and 5- ethyl analogues 2-Et-DOM and 5-Et-DOM have been tested, but in all cases were significantly less potent than the corresponding methoxy compound, showing the importance of the oxygen lone pairs in 5-HT2A binding.[5][6]

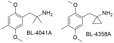
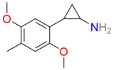
BL-4041A & BL-4358A[7]
DOM-25-varients.png
[69854-49-5] Page 72

The tranylcypromine-DOM compound is fully one-third the potency of DOM proper according to page 72 of monograph 22. This would mean that the ED50 for 1 tablet should be approximately 30 mg.

Toxicity

Very little is known about the toxicity of DOM. According to Shulgin, the effects of DOM typically last 14 to 20 hours, though other clinical trials indicate a duration of 7 to 8 hours.[3]

Legal status

Canada

Listed as a Schedule 1, as it is an analogue of amphetamine.

United States

DOM is Schedule I in the United States. This means it is illegal to manufacture, buy, possess, or distribute (make, trade, own or give) without a DEA license.

Australia

DOM is schedule 9 under the Australia Poisons standard.[8] A schedule 9 substance is a "Substances which may be abused or misused, the manufacture, possession, sale or use of which should be prohibited by law except when required for medical or scientific research, or for analytical, teaching or training purposes with approval of Commonwealth and/or State or Territory Health Authorities." [8]

See also

  • 2,5-Dimethoxy-4-Substituted Amphetamines

References

  1. ^ "Green List: List of Psychotropic Substances Under International Control" (PDF) (23rd ed.). International Narcotics Control Board. August 2003. p. 4. Archived from the original (PDF) on 19 December 2013. Retrieved 22 February 2014.
  2. ^ Shulgin, Alexander (1991). Pihkal : a chemical love story. Berkeley, CA: Transform Press. pp. 53–56. ISBN 978-0-9630096-0-9.
  3. ^ a b Snyder, Solomon H.; Louis Faillace & Leo Hollister (3 November 1967). "2,5-Dimethoxy-4-methyl-amphetamine (STP): A New Hallucinogenic Drug" (PDF). Science. 158 (3801): 669–670. doi:10.1126/science.158.3801.669. PMID 4860952. S2CID 24065654.
  4. ^ Sanders-Bush, E; Burris, KD; Knoth, K (September 1988). "Lysergic acid diethylamide and 2,5-dimethoxy-4-methylamphetamine are partial agonists at serotonin receptors linked to phosphoinositide hydrolysis". The Journal of Pharmacology and Experimental Therapeutics. 246 (3): 924–928. PMID 2843634.
  5. ^ Eckler JR, Chang-Fong J, Rabin RA, Smith C, Teitler M, Glennon RA, Winter JC (July 2003). "Behavioral characterization of 2-O-desmethyl and 5-O-desmethyl metabolites of the phenylethylamine hallucinogen DOM". Pharmacology Biochemistry and Behavior. 75 (4): 845–52. doi:10.1016/S0091-3057(03)00159-X. PMID 12957227. S2CID 36463979.
  6. ^ Braden, Michael Robert (May 2007). Towards a Biophysical Basis of Hallucinogen Action (Thesis). Purdue University. OCLC 703618147. Retrieved 28 February 2012.
  7. ^ "Monographs 22" (PDF). Archived from the original (PDF) on 2011-10-15. Retrieved 2011-06-01.
  8. ^ a b Poison Standard https://www.comlaw.gov.au/Details/F2015L01534/Html/Text#_Toc420496379 Archived 2015-12-22 at the Wayback Machine

External links

This article is copied from an article on Wikipedia® - the free encyclopedia created and edited by its online user community. The text was not checked or edited by anyone on our staff. Although the vast majority of Wikipedia® encyclopedia articles provide accurate and timely information, please do not assume the accuracy of any particular article. This article is distributed under the terms of GNU Free Documentation License.

Copyright © 2003-2025 Farlex, Inc Disclaimer
All content on this website, including dictionary, thesaurus, literature, geography, and other reference data is for informational purposes only. This information should not be considered complete, up to date, and is not intended to be used in place of a visit, consultation, or advice of a legal, medical, or any other professional.